View a markdown version of this page

步驟 1:識別使用案例和邏輯資料模型 - AWS 方案指引

本文為英文版的機器翻譯版本,如內容有任何歧義或不一致之處,概以英文版為準。

步驟 1:識別使用案例和邏輯資料模型

一家汽車公司想要建置交易元件管理系統,以存放和搜尋所有可用的汽車零件,並在不同的元件和零件之間建立關係。例如,一輛汽車包含多顆電池,每顆電池包含多個高層級模組,每個模組包含多個電芯,每個電芯包含多個低階元件。

一般來說,為了建置階層關係模型,Amazon Neptune 等圖形資料庫是更好的選擇。不過,在某些情況下,Amazon DynamoDB 因為其彈性、安全性、效能和規模,是階層式資料建模的更佳替代方案。

例如,您可能會建置一個系統,其中 80-90% 的查詢是交易,DynamoDB 非常適合該系統。在此範例中,其他 10–20% 的查詢是關聯式查詢,其中 Neptune 等圖形資料庫更適合。在這種情況下,在架構中包含額外的資料庫,只滿足 10-20% 的查詢可能會增加成本。它還增加了維護多個系統和同步資料的操作負擔。相反,您可以在 DynamoDB 中對該 10-20% 的關聯式查詢建模。

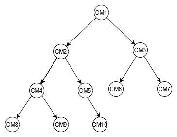
繪製汽車元件的範例樹狀目錄可以協助您映射它們之間的關係。下列圖表顯示具有四個層級的相依性圖形。CM1 是範例汽車本身的頂層元件。它具有兩個子元件,用於兩個範例電池即 CM2 和 CM3。每個電池都具有兩個子元件,即模組。CM2 具有模組 CM4 和 CM5,而 CM3 具有模組 CM6 和 CM7。每個模組都具有幾個子元件,即電芯。CM4 模組具有兩個電芯,即 CM8 和 CM9。CM5 具有一個電芯即 CM10。CM6 和 CM7 還沒有任何關聯的電芯。

顯示先前描述的關係的範例樹狀目錄圖。

本指南將使用此樹狀目錄及其元件識別符作為參考。頂端元件將稱為父項,子元件將稱為子項例如,頂端元件 CM1 是 CM2 和 CM3 的父項。CM2 是 CM4 和 CM5 的父項。這描繪了父項和子項關係。

從樹狀目錄中,您可以看到元件的完整相依性圖形。例如,CM8 依賴於 CM4,CM4 依賴於 CM2,CM2 依賴於 CM1。此樹狀目錄將完整的相依性圖形定義為路徑。路徑描述了以下兩個項目:

  • 相依性圖形

  • 樹狀目錄中的位置

填寫範本以滿足業務需求:

提供使用者的相關資訊:

使用者

Description

員工

需要汽車及其元件資訊之汽車公司的內部員工

提供資料來源以及如何擷取資料的相關資訊:

來源

Description

使用者

管理系統

系統將存放與可用汽車零件相關的所有資料,以及它們與其他元件和零件的關係。

員工

提供如何使用資料的相關資訊:

消費者

Description

使用者

管理系統

擷取父元件 ID 的所有立即子元件。

員工

管理系統

擷取元件 ID 的所有子元件的遞迴清單。

員工

管理系統

請參閱元件的祖先。

員工