View a markdown version of this page

管理儲存效率 - FSx for OnTAP

本文為英文版的機器翻譯版本,如內容有任何歧義或不一致之處,概以英文版為準。

管理儲存效率

透過在 FSx for ONTAP 磁碟區上啟用儲存效率,您可以最佳化儲存使用率、降低儲存成本,並改善檔案系統的整體效能。

注意

建議使用 Amazon FSx 主控台、API 或 來實現儲存效率, AWS CLI 以確保將最佳的儲存效率設定套用至您的磁碟區。

ONTAP 會將檔案整理成 4 KB (KiB) 的資料區塊。儲存效率是在資料區塊層級而非個別檔案層級進行。啟用儲存效率時, ONTAP採用資料縮減技術組合來消除重複的資料、壓縮資料大小,以及重新組織資料配置,以獲得最佳磁碟使用率。

儲存效率的套用方式有兩種。它們會套用至內嵌資料 (在資料寫入磁碟之前,在記憶體中),以立即節省儲存成本。它們也會透過定期效率任務套用至 SSD 儲存層背景中的資料 (在資料寫入磁碟之後),以隨著時間最佳化儲存使用率。背景儲存效率在分層至容量集區之後,不會在資料上執行。不過,如果資料在 SSD 中有任何儲存節省,則在資料分層到容量集區時,會保留這些節省。

注意

ONTAP 不支援在資料保護 (DP) 磁碟區上啟用儲存效率。不過,當資料複寫至目的地 DP 磁碟區時,會保留來源可讀寫入 (RW) 磁碟區中達到的儲存節省。

資料區塊的壓縮

壓縮群組是做為單一區塊一起管理和壓縮的資料邏輯分組。 ONTAP會自動將資料區塊封裝到壓縮群組中,以減少磁碟上耗用的空間。為了最佳化效能和儲存使用率, 會根據資料存取模式調整套用至資料的壓縮程度,ONTAP提供管理資料的平衡方法。

根據預設,資料會使用 8 KB 壓縮群組進行內嵌壓縮,以確保將資料寫入磁碟區時的最佳效能。或者,您可以在磁碟區上啟用非作用中的資料壓縮,以進一步壓縮 SSD 中的資料,藉此將較嚴重的壓縮套用至資料。非作用中資料壓縮會在冷資料上使用 32 KB 壓縮群組,以節省額外的儲存空間。如需詳細資訊,請參閱 中的 volume efficiency inactive-data-compression modify命令NetApp ONTAP Documentation Center。

注意

非作用中資料壓縮會耗用額外的 CPU 和磁碟 IOPS,而且可以是資源密集型任務。建議您在啟用此功能之前,先評估對工作負載執行非作用中資料壓縮的效能影響。

下圖說明可透過壓縮資料區塊達成的儲存節省。

說明可透過使用壓縮群組壓縮資料區塊來節省儲存空間。

重複資料區塊的刪除

ONTAP 會偵測並消除重複的資料區塊,以減少資料中的冗餘。重複的區塊會取代為共用唯一區塊的參考。

根據預設,資料會在寫入磁碟之前內嵌刪除重複資料,以減少儲存體使用量。 ONTAP也會以指定的間隔執行背景刪除重複資料掃描器,以在寫入磁碟後識別並消除重複資料。在這些排定的掃描期間, 會ONTAP處理變更日誌,以識別自上次掃描以來尚未刪除重複資料的新資料區塊或修改的資料區塊。找到重複項目時, 會ONTAP更新中繼資料以指向重複區塊的單一複本,並將備援區塊標記為已準備好回收的可用空間。

注意

ONTAP 一次將重複資料刪除套用至 4 KB 的傳入寫入,因此在執行大小小於 4 KB 的寫入工作負載時,可能會省下較低的重複資料刪除成本。

FSx for ONTAP 不支援跨磁碟區重複資料刪除。

下圖說明可透過重複資料刪除實現的儲存節省。

說明可透過重複資料刪除實現的儲存節省。

壓縮資料區塊

ONTAP 會將每個小於 4 KB 的部分填充資料區塊合併為更有效率使用的 4 KB 區塊。

根據預設,資料會內嵌壓縮,以在寫入磁碟時最佳化資料配置,以將儲存開銷降至最低、減少分段並改善讀取效能。

下圖說明可透過壓縮達成的儲存節省。

說明可透過壓縮達成的儲存節省。

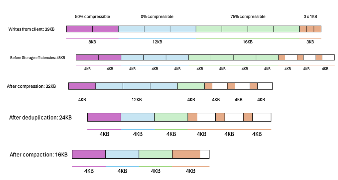
範例:儲存效率

下圖說明如何將儲存效率套用至資料。

說明如何將儲存效率套用至資料。