使用 Amazon Connect 聯絡人記錄識別會議和轉接 - Amazon Connect

本文為英文版的機器翻譯版本,如內容有任何歧義或不一致之處,概以英文版為準。

使用 Amazon Connect 聯絡人記錄識別會議和轉接

聯絡人記錄會擷取與您聯絡中心中的聯絡人有關聯的事件。對於每個新聯絡,Amazon Connect 會建立聯絡人記錄,並將唯一的聯絡 ID 指派給聯絡。

每次客服人員諮詢其他客服人員 (Amazon Connect 內部或外部,使用免付費電話或直接內撥號碼) 時,Amazon Connect 都會建立諮詢分段聯絡人記錄,並為此分段發出新的聯絡 ID。

主要聯絡人記錄和任何後續諮詢分段聯絡人記錄可以由數個聯絡 ID 欄位連結在一起,例如初始聯絡 ID、下一個聯絡 ID 和上一個聯絡 ID。

本主題說明如何使用這些欄位來區分聯絡人記錄中的會議和轉接。它也提供建立諮詢操作類型的邏輯:諮詢通話、會議或轉接。

術語

本主題中使用下列術語:

諮詢通話

涉及三個參與者的通話:

  1. 啟動者,例如客戶

  2. 收件者,例如客服人員

  3. 諮詢的參與者,例如主管或外部第三方翻譯人員

諮詢通話最終可能是諮詢通話、轉接通話或會議通話。

諮詢通話

當啟動者處於保留狀態時,收件者客服人員諮詢其他參與者 (例如,相同 Amazon Connect 執行個體或外部實體中的客服人員) 的通話。

通話中斷連線後,Amazon Connect 會將客服人員置於通話後工作 (ACW) 狀態。聯絡人記錄會以進入此狀態時的時間戳記進行更新。在諮詢通話的情況下,諮詢的參與者會比客戶更早中斷連線。

聯絡人記錄會記錄客服人員在 AfterContactWorkStartTimestamp 下處於 ACW 狀態時的時間戳記。

轉接通話

收件者將啟動者轉接給諮詢的參與者。在此情況下,收件者客服人員會比諮詢的客服人員更早進入 ACW。

會議通話

收件者讓啟動者與諮詢的參與者進行會議 (三向通話)。

Amazon Connect 允許三個以上的參與者一起參加會議。對於內部通話,在諮詢和會議情況下,諮詢的參與者會比收件者更早進入 ACW。不過差別在於,在會議案例中,諮詢的參與者也可以與客戶交談,而在諮詢案例中,收件者會將客戶通話保留。

下列各節說明如何識別聯絡人記錄中每種類型的通話。

諮詢通話的聯絡人記錄

假設客戶致電 Agent1。客服人員不會轉接或諮詢其他人。通話中斷連線時,聯絡人記錄看起來如下列範例所示 (僅顯示相關欄位):

{ "AWSAccountId": "account-id", "Agent": { "ARN": "agent-arn", "AfterContactWorkStartTimestamp": "2024-08-02T17:50:53Z", . . "Username": "Agent1" }, "ContactId": "497f04ca-6de1-408f-9b8a-ec57bcc99b31", . . "InitialContactId": null, "NextContactId": null, "PreviousContactId": null, . . }

如果 Agent1 要啟動與其他客服人員 (Agent2) 的諮詢通話,則為諮詢、轉接或會議。

下列範例聯絡人記錄顯示這會如何尋找啟動客服人員 (Agent1) 和收件者客服人員 (Agent2):

  • 啟動客服人員 (Agent1)

    { "Agent": { "ARN": "agent-arn" "AfterContactWorkStartTimestamp": "2024-08-02T17:50:53Z", . . "Username": "Agent1" }, "ContactId": "497f04ca-6de1-408f-9b8a-ec57bcc99b31", "InitialContactId": null, "NextContactId": "6aa058d3-e771-4544-8e93-f5ce9c9003b3", . . }
  • 收件者客服人員 (Agent2)

    { "Agent": { "ARN": "agent-arn", "AfterContactWorkStartTimestamp": "2024-08-02T17:51:07Z", . . "Username": "Agent2" }, "ContactId": "6aa058d3-e771-4544-8e93-f5ce9c9003b3", "InitialContactId": "497f04ca-6de1-408f-9b8a-ec57bcc99b31", "NextContactId": null, "PreviousContactId": "497f04ca-6de1-408f-9b8a-ec57bcc99b31", . . }

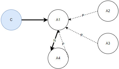
    下圖顯示聯絡人記錄的兩個部分之間的關係:

    Agent1 與 Agent2 在諮詢通話期間的關係。

    Agent1 (A1) 和 Agent2 (A2) 在何處連結:

    • N = 下一個聯絡 ID。此欄位會出現在初始分段的聯絡人記錄中。這是此客服人員諮詢的最後一個客服人員的聯絡 ID (在此案例中,最後一個客服人員是 A2)。

    • P = 上一個聯絡 ID。此欄位會出現在諮詢分段的聯絡人記錄中。這是呼叫此分段之分段的聯絡 ID。在此案例中即為 A1。

    未在圖表中顯示的是:

    • 初始聯絡 ID:這是 Agent1 (A1) 與客戶 (C) 之間第一次互動的聯絡 ID。

    • 聯絡 ID:這是指定互動的唯一識別符。

    聯絡 ID、初始聯絡 ID 和上一個聯絡 ID 是系統屬性。如需每個項目的描述,請參閱 系統屬性

此模型可以擴展到涉及多個客服人員的諮詢通話。以下是如何擴展的範例使用案例。

  • 使用案例 1:Agent1 邀請 Agent2,Agent2 邀請 Agent3,Agent3 邀請 Agent4。上一個聯絡 ID 一律是上一個客服人員。以下圖表說明此使用案例。

    A1 邀請 A2,A2 邀請 A3,A3 邀請 A4,上一個聯絡 ID 一律是上一個客服人員。
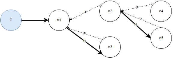
  • 使用案例 2:Agent1 邀請 Agent2,Agent1 邀請 Agent3,Agent1 邀請 Agent4。上一個聯絡 ID 一律為 Agent1。以下圖表說明此使用案例。

    A1 邀請 Agent2,A1 邀請 A3,A1 邀請 A4,上一個聯絡 ID 一律為 A1。
  • 使用案例 3:Agent1 邀請 Agent2,Agent2 邀請 Agent4 和 Agent5,Agent1 邀請 Agent3。Agents2 和 Agents3 的上一個聯絡 ID 是 Agent1。對於 Agents4 和 Agents5,上一個聯絡 ID 是 Agent2。以下圖表說明此使用案例。

    A1 邀請 A2,A2 邀請 A4 和 A5,A1 邀請 A3。

如何識別諮詢通話

  1. 步驟 1:將所有與主要聯絡相關聯的分段分組

  2. 步驟 2:使用其聯絡 ID 欄位識別每一對之間的關係 (上一個聯絡 ID、下一個聯絡 ID、初始聯絡 ID 和聯絡 ID)。檢查聯絡人記錄中的其他欄位,以識別諮詢操作的類型:諮詢/轉接或會議。

步驟 1:將所有與主要聯絡相關聯的分段分組

此步驟可協助您將所有由指定啟動者/呼叫者啟動的呼叫分組。感興趣的欄位包括聯絡 ID、上一個聯絡 ID、下一個聯絡 ID、初始聯絡 ID 和聯絡 ID。這也有助於您了解解決通話所需的分段數。其工作流程如下:

  1. 建立啟動者:這是 InitialContactId 欄位為 NULL 的聯絡人記錄。此外,此記錄的 PreviousContactId 也是 NULL

  2. 每個聯絡人記錄,其中 InitialContactId 欄位等於啟動者聯絡人記錄的 ContactId 與此聯絡人記錄相關。

步驟 2:使用其聯絡 ID 欄位識別每一對之間的關係

您可以使用下列邏輯來識別諮詢與轉接與會議。邏輯使用聯絡人記錄中記下的時間戳記欄位。所有相關欄位都標示為 code

諮詢通話

啟動者向另一方諮詢 - 使用 DID 或免付費電話號碼,在相同 Amazon Connect 執行個體 (內部) 或該執行個體外部 (外部) 諮詢。

  • 內部諮詢特性:

    • 諮詢的客服人員會在啟動者客服人員之前進入 ACW

    • 諮詢的客服人員永遠不會與客戶交談,這是因為啟動者已將客戶保留通話。因此,諮詢的客服人員的 AgentInteractionDuration 欄位為 ZERO。

  • 外部諮詢特性:

    • 啟動者的客戶保留通話持續時間高於外部方的互動持續時間 (ExternalThirdPartyInteractionDuration)。

會議通話

啟動者使用 DID 或免付費電話號碼,與相同 Amazon Connect 執行個體 (內部) 或該執行個體外部 (外部) 的其他參與者進行會議。

  • 內部諮詢特性:

    • 諮詢的客服人員會在啟動者客服人員之前進入 ACW。

    • 諮詢的客服人員會與客戶交談:AgentInteractionDuration 不是 ZERO。

  • 外部諮詢特性:

    • 啟動者的客戶保留通話持續時間低於外部方的互動持續時間 (ExternalThirdPartyInteractionDuration)。這表示客戶短暫保留通話,然後所有參與者都參與通話。

轉接通話

啟動者向另一方諮詢 - 使用 DID 或免付費電話號碼,在相同 Amazon Connect 執行個體 (內部) 或該執行個體外部 (外部) 諮詢。

  • 內部諮詢特性:

    • 諮詢的客服人員會在啟動者客服人員之後進入 ACW。

    • 啟動者客服人員的 TransferCompletedTimestamp 欄位不是 ZERO。

  • 外部諮詢特性:

    • 啟動者會先進入 ACW (AfterContactWorkStartTimestamp),再中斷外部分段的連線 (DisconnectTimestamp)。

    • 啟動者客服人員的 TransferCompletedTimestamp 欄位不是 ZERO。

程式碼片段

下列範例程式碼片段,在 SQL、Java 指令碼和 Python 中,示範如何利用上一節所述的邏輯來識別會議、轉接和諮詢通話。這些程式碼片段為範例,不適用於生產。

SQL 程式碼

-- Conference transfer query DO NOT EDIT -- SELECT current_cr.contact_id, current_cr.initial_contact_id, current_cr.previous_contact_id, current_cr.next_contact_id, previous_cr.agent_username as initiator_agent_username, COALESCE ( current_cr.agent_username, current_cr.customer_endpoint_address ) as recipient_agent_username, current_cr.agent_connected_to_agent_timestamp, current_cr.agent_after_contact_work_start_timestamp, current_cr.transfer_completed_timestamp, CASE WHEN previous_cr.agent_after_contact_work_start_timestamp < current_cr.agent_after_contact_work_start_timestamp AND previous_cr.transfer_completed_timestamp IS NOT NULL THEN 'TRANSFER' WHEN previous_cr.agent_after_contact_work_start_timestamp > current_cr.agent_after_contact_work_start_timestamp AND current_cr.agent_interaction_duration_ms <= 2000 THEN 'CONSULT' WHEN previous_cr.agent_after_contact_work_start_timestamp > current_cr.agent_after_contact_work_start_timestamp AND current_cr.agent_interaction_duration_ms > 2000 THEN 'CONFERENCE' WHEN current_cr.agent_username is NULL AND current_cr.initiation_method = 'EXTERNAL_OUTBOUND' AND previous_cr.agent_after_contact_work_start_timestamp > current_cr.disconnect_timestamp AND previous_cr.agent_customer_hold_duration_ms > current_cr.external_third_party_interaction_duration_ms THEN 'EXTERNAL_CONSULT' WHEN current_cr.agent_username is NULL AND current_cr.initiation_method = 'EXTERNAL_OUTBOUND' AND previous_cr.agent_after_contact_work_start_timestamp > current_cr.disconnect_timestamp AND previous_cr.agent_customer_hold_duration_ms < current_cr.external_third_party_interaction_duration_ms THEN 'EXTERNAL_CONFERENCE' WHEN current_cr.agent_username is NULL AND current_cr.initiation_method = 'EXTERNAL_OUTBOUND' AND current_cr.disconnect_timestamp > previous_cr.transfer_completed_timestamp THEN 'EXTERNAL_TRANSFER' ELSE 'START' END AS TYPE FROM contact_record_link current_cr LEFT JOIN contact_record_link previous_cr ON previous_cr.contact_id = current_cr.previous_contact_id WHERE ( -- INPUT CONTACT ID -- current_cr.initial_contact_id = 'A CONTACT ID' or current_cr.contact_id = 'SAME CONTACT ID AS ABOVE' ) order by current_cr.agent_connected_to_agent_timestamp asc

Python 程式碼

"""Module Compare CTR's and establish relation""" ############################################################################### # Usage python ctr_processor.py [Initial Contact ID] # Example: python CTR_Processor.py 497f04ca-6de1-408f-9b8a-ec57bcc99b31 # # Have your CTR record JSON files in the same directory as this Python module # and execute the module as noted above. The input parameter is the # Initial Contact ID / the Contact ID of the first leg of the call. # ####################################################################z########### import json import re import os import sys from dateutil import parser PATH_OF_FILES = './' JSON = '.json' ENCODING = 'UTF-8' INTERACTION_DURN_THRESHOLD = 2 TYPE_INITIAL = 'STAND ALONE' TYPE_CONSULT = 'CONSULT' TYPE_EXT_CONSULT = 'EXT_CONSULT' TYPE_EXT_CONF = 'EXT_CONFERENCE' TYPE_CONFERENCE = 'CONFERENCE' TYPE_TRANSFER = 'TRANSFER' TYPE_UNKNOWN = 'UNKNOWN' CONTACT_STATE_INT = 'INTERMEDIATE' CONTACT_STATE_FINAL = 'FINAL' CONTACT_STATE_START = 'START' PRINT_INDENT = 4 def process_ctr_records(ctr_array): """ Function to process CTR Records""" relation = {} output_list = [] if ctr_array is None : return None for i, a_record in enumerate(ctr_array): if (prev_cid := a_record.get('PreviousContactId', None)) is not None: if (parent_ctr := get_parent_node(ctr_array, a_record['ContactId'], prev_cid)) is not None: relation = establish_relation(parent_ctr, a_record) else: relation = establish_parent(a_record) if relation is not None: output_list.append(relation) return output_list def establish_parent(a_ctr): """ Establish the first record - the one that doesn't have a Previous Contact ID""" if a_ctr.get('Agent', None) is not None: return { 'Agent': a_ctr['Agent']['Username'] ,'ConnectedToAgentTimestamp': a_ctr['Agent']['ConnectedToAgentTimestamp'] ,'Root Contact ID': a_ctr['ContactId'] ,'Type': TYPE_INITIAL ,'Contact State': CONTACT_STATE_START } def establish_relation(parent, child): """ Establish Conf / Transfer / Consult relation between two Agents""" if is_external_call(child): return establish_external_relation(parent, child) else: return establish_internal_relation(parent, child) def establish_external_relation(parent, child): """ Establish Conf / Transfer / Consult relation between two Agents - External call""" ret = { 'Parties': parent['Agent']['Username'] + ' <-> External:' + child['CustomerEndpoint']['Address'] ,'Contact State': parent.get('Contact State', CONTACT_STATE_INT) ,'ConnectedToAgentTimestamp': child['ConnectedToSystemTimestamp'] } parent_acw_start_ts = parser.parse(parent['Agent']['AfterContactWorkStartTimestamp']) child_disconnect_ts = parser.parse(child['DisconnectTimestamp']) if (parent_acw_start_ts - child_disconnect_ts).total_seconds() > 0: # Parent ended after child: Consult or conference ret['Type'] = TYPE_EXT_CONSULT if (parent['Agent']['CustomerHoldDuration'] - child['ExternalThirdParty']['ExternalThirdPartyInteractionDuration']) > INTERACTION_DURN_THRESHOLD else TYPE_EXT_CONF elif ((transfer_completed_ts := parser.parse(parent.get('TransferCompletedTimestamp', None))) is not None) and \ ((child_disconnect_ts - transfer_completed_ts).total_seconds() > 0): # ACW started after transfer was completed ret['Type'] = TYPE_TRANSFER return ret def establish_internal_relation(parent, child): """ Establish Conf / Transfer / Consult relation between two Agents - Internal call""" ret = { 'Parties': parent['Agent']['Username'] + ' <-> ' + child['Agent']['Username'] ,'Contact State': parent.get('Contact State', CONTACT_STATE_INT) ,'Child Contact ID': child.get('ContactId', 'NOTHING') ,'ConnectedToAgentTimestamp': child['Agent']['ConnectedToAgentTimestamp'] } parent_acw_start_ts = parser.parse(parent['Agent']['AfterContactWorkStartTimestamp']) child_acw_start_ts = parser.parse(child['Agent']['AfterContactWorkStartTimestamp']) if (parent_acw_start_ts - child_acw_start_ts).total_seconds() > 0: # Parent ended after child: Consult or conference ret['Type'] = TYPE_CONSULT if child['Agent']['AgentInteractionDuration'] < INTERACTION_DURN_THRESHOLD else TYPE_CONFERENCE elif ((transfer_completed_ts := parser.parse(parent.get('TransferCompletedTimestamp', None))) is not None) and \ ((child_acw_start_ts - transfer_completed_ts).total_seconds() > 0): # ACW started after transfer was completed ret['Type'] = TYPE_TRANSFER return ret def is_external_call(a_record): """Is this an external call """ if (a_record.get('Agent', None) is None and a_record.get('InitiationMethod', None) == 'EXTERNAL_OUTBOUND'): return True return False def get_parent_node(ctr_array, child_cid, child_prev_cid): """ Get the parent node when we have a Previous Contact ID""" for i, a_record in enumerate(ctr_array): if (parent_cid := a_record.get('ContactId', None)) is not None: if compare_strings(parent_cid, child_prev_cid): if (parent_next_cid := a_record.get('NextContactId', None)) is not None: if compare_strings(parent_next_cid, child_cid): return a_record | {'Contact State': CONTACT_STATE_FINAL} else: return a_record else: return a_record | {'Contact State': CONTACT_STATE_INT} def compare_strings(s1, s2): """ Compare two Contact IDs""" if s1 is None or s2 is None : return False return re.search(re.compile(s2), s1) def read_all_ctr_records(a_cid): """ Read all the CTR records for a given Initial Contact ID. Modify for S3 read""" ctr_array = [] for file_name in [file for file in os.listdir(PATH_OF_FILES) if file.endswith(JSON)]: with open(PATH_OF_FILES + file_name, encoding=ENCODING) as json_file: try: a_ctr = json.load(json_file) except ValueError: print('Error in parsing JSON. File name:[', file_name, ']') if a_ctr is not None: c_id = a_ctr['ContactId'] init_cid = a_ctr.get('InitialContactId', None) if compare_strings(a_cid, c_id): ctr_array.append(a_ctr) elif compare_strings(a_cid, init_cid): ctr_array.append(a_ctr) return ctr_array def main(): """ Entry point""" if len(sys.argv) < 2: print('Incorrect number of arguments (', len(sys.argv), ') --> python ctr_processor.py [Initial Contact ID]') return else: output_list = process_ctr_records(read_all_ctr_records(sys.argv[1])) if output_list is not None and len(output_list) > 0: output_list.sort(key=lambda x: x['ConnectedToAgentTimestamp']) for i, an_entry in enumerate(output_list): print(json.dumps(an_entry, indent=PRINT_INDENT)) else: print('Unable to find Contact ID:[', sys.argv[1], '] in the input CTR Records. Please check the files and try again.') if __name__ == "__main__": main()

JS 程式碼

// Has a dependency on the following Node.js modules: - date-fns, fs, path //sample input: node index.js 497f04ca-6de1-408f-9b8a-ec57bcc99b31 const fs = require('fs'); const path = require('path'); const { parseISO } = require('date-fns'); const PATH_OF_FILES = './'; const JSON_EXT = '.json'; const ENCODING = 'UTF-8'; const INTERACTION_DURATION_THRESHOLD = 2; const CONTACT_TYPES = { INITIAL: 'STAND ALONE', CONSULT: 'CONSULT', EXTERNAL_CONSULT: 'EXT_CONSULT', EXTERNAL_CONFERENCE: 'EXT_CONFERENCE', CONFERENCE: 'CONFERENCE', TRANSFER: 'TRANSFER', EXTERNAL_TRANSFER: 'EXT_TRANSFER', }; const CONTACT_STATES = { INTERMEDIATE: 'INTERMEDIATE', FINAL: 'FINAL', START: 'START', }; const PRINT_INDENT = 4; function processCtrRecords(ctrArray) { if (!ctrArray) return null; const outputList = []; ctrArray.forEach(record => { let relation = null; const prevCid = record.PreviousContactId; if (prevCid) { const parentRecord = findParentRecord(ctrArray, record.ContactId, prevCid); if (parentRecord) { relation = establishRelation(parentRecord, record); } } else { relation = establishInitialRecord(record); } if (relation) { outputList.push(relation); } }); return outputList; } function establishInitialRecord(record) { if (record.Agent) { return { 'Agent': record.Agent.Username, 'ConnectedToAgentTimestamp': record.Agent.ConnectedToAgentTimestamp, 'Root Contact ID': record.ContactId, 'Type': CONTACT_TYPES.INITIAL, 'Contact State': CONTACT_STATES.START, }; } } function establishRelation(parent, child) { return isExternalCall(child) ? establishExternalRelation(parent, child) : establishInternalRelation(parent, child); } function establishExternalRelation(parent, child) { const parentAcwStartTs = parent.Agent?.AfterContactWorkStartTimestamp ? parseISO(parent.Agent.AfterContactWorkStartTimestamp) : null; const childDisconnectTs = child.DisconnectTimestamp ? parseISO(child.DisconnectTimestamp) : null; const relation = { 'Parties': `${parent.Agent.Username} <-> External:${child.CustomerEndpoint.Address}`, 'Contact State': parent['Contact State'] || CONTACT_STATES.INTERMEDIATE, 'ConnectedToAgentTimestamp': child.ConnectedToSystemTimestamp, }; if (parentAcwStartTs && childDisconnectTs && (parentAcwStartTs - childDisconnectTs) > 0) { if (parent.Agent.CustomerHoldDuration - child.ExternalThirdParty.ExternalThirdPartyInteractionDuration > INTERACTION_DURATION_THRESHOLD) { relation['Type'] = CONTACT_TYPES.EXTERNAL_CONSULT; } else { relation['Type'] = CONTACT_TYPES.EXTERNAL_CONFERENCE; } } else if (parent.TransferCompletedTimestamp) { const transferCompletedTs = parseISO(parent.TransferCompletedTimestamp); if (transferCompletedTs && childDisconnectTs && (childDisconnectTs - transferCompletedTs) > 0) { relation['Type'] = CONTACT_TYPES.EXTERNAL_TRANSFER; } } return relation; } function establishInternalRelation(parent, child) { const parentAcwStartTs = parent.Agent?.AfterContactWorkStartTimestamp ? parseISO(parent.Agent.AfterContactWorkStartTimestamp) : null; const childAcwStartTs = child.Agent?.AfterContactWorkStartTimestamp ? parseISO(child.Agent.AfterContactWorkStartTimestamp) : null; const relation = { 'Parties': `${parent.Agent.Username} <-> ${child.Agent.Username}`, 'Contact State': parent['Contact State'] || CONTACT_STATES.INTERMEDIATE, 'Child Contact ID': child.ContactId || 'NOTHING', 'ConnectedToAgentTimestamp': child.Agent.ConnectedToAgentTimestamp, }; if (parentAcwStartTs && childAcwStartTs && (parentAcwStartTs - childAcwStartTs) > 0) { relation['Type'] = child.Agent.AgentInteractionDuration < INTERACTION_DURATION_THRESHOLD ? CONTACT_TYPES.CONSULT : CONTACT_TYPES.CONFERENCE; } else if (parent.TransferCompletedTimestamp) { const transferCompletedTs = parseISO(parent.TransferCompletedTimestamp); if (transferCompletedTs && childAcwStartTs && (childAcwStartTs - transferCompletedTs) > 0) { relation['Type'] = CONTACT_TYPES.TRANSFER; } } return relation; } function isExternalCall(record) { return !record.Agent && record.InitiationMethod === 'EXTERNAL_OUTBOUND'; } function findParentRecord(ctrArray, childCid, childPrevCid) { for (const record of ctrArray) { const parentCid = record.ContactId; if (compareStrings(parentCid, childPrevCid)) { const parentNextCid = record.NextContactId; if (parentNextCid && compareStrings(parentNextCid, childCid)) { return { ...record, 'Contact State': CONTACT_STATES.FINAL }; } else { return { ...record, 'Contact State': CONTACT_STATES.INTERMEDIATE }; } } } return null; } function compareStrings(s1, s2) { return s1 && s2 && s1.includes(s2); } function readAllCtrRecords(contactId) { return fs.readdirSync(PATH_OF_FILES) .filter(file => file.endsWith(JSON_EXT)) .map(fileName => JSON.parse(fs.readFileSync(path.join(PATH_OF_FILES, fileName), ENCODING))) .filter(record => compareStrings(contactId, record.ContactId) || compareStrings(contactId, record.InitialContactId)); } function main() { const [initialContactId] = process.argv.slice(2); if (!initialContactId) { console.log('Usage: node index.js [Initial Contact ID]'); return; } const outputList = processCtrRecords(readAllCtrRecords(initialContactId)); if (outputList.length) { outputList.sort((a, b) => new Date(a.ConnectedToAgentTimestamp) - new Date(b.ConnectedToAgentTimestamp)); outputList.forEach(entry => console.log(JSON.stringify(entry, null, PRINT_INDENT))); } else { console.log(`Unable to find Contact ID: [${initialContactId}]. Please check and try again.`); } } if (require.main === module) { main(); }