View a markdown version of this page

上游儲存庫優先順序 - CodeArtifact

本文為英文版的機器翻譯版本,如內容有任何歧義或不一致之處,概以英文版為準。

上游儲存庫優先順序

當您從具有一或多個上游儲存庫的儲存庫請求套件版本時,其優先順序會對應至呼叫 create-repositoryupdate-repository命令時列出的順序。找到請求的套件版本時,即使未搜尋所有上游儲存庫,搜尋也會停止。如需詳細資訊,請參閱新增或移除上游儲存庫 (AWS CLI)

使用 describe-repository命令查看優先順序。

aws codeartifact describe-repository --repository my_repo --domain my_domain --domain-owner 111122223333

結果可能如下。它顯示上游儲存庫優先順序為upstream-1第一、upstream-2第二和upstream-3第三。

{ "repository": { "name": "my_repo", "administratorAccount": "123456789012", "domainName": "my_domain", "domainOwner": "111122223333", "arn": "arn:aws:codeartifact:us-east-1:111122223333:repository/my_domain/my_repo", "description": "My new repository", "upstreams": [ { "repositoryName": "upstream-1" }, { "repositoryName": "upstream-2" }, { "repositoryName": "upstream-3" } ], "externalConnections": [] } }

簡單優先順序範例

在下圖中,儲存my_repo庫有三個上游儲存庫。上游儲存庫的優先順序為 upstream-1upstream-2upstream-3

顯示 my_repo 與 3 個上游儲存庫的簡單上游儲存庫圖表。

中的套件版本請求會依下列順序my_repo搜尋儲存庫,直到找到為止,或直到 HTTP 404 Not Found回應傳回用戶端為止:

  1. my_repo

  2. upstream-1

  3. upstream-2

  4. upstream-3

如果找到套件版本,即使搜尋並未在所有上游儲存庫中尋找,搜尋也會停止。例如,如果在 中找到套件版本upstream-1,搜尋會停止,而 CodeArtifact 不會尋找 upstream-2upstream-3

當您使用 AWS CLI 命令list-package-versions列出 中的套件版本時my_repo,它只會在 中尋找my_repo。它不會列出上游儲存庫中的套件版本。

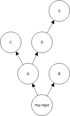
複雜優先順序範例

如果上游儲存庫有自己的上游儲存庫,則在移至下一個上游儲存庫之前,會使用相同的邏輯來尋找套件版本。例如,假設您的儲存my_repo庫有兩個上游儲存庫 AB。如果儲存庫A有上游儲存庫, 中套件版本的請求會my_repo先在 中尋找my_repo,再於 中尋找A,然後於 的上游儲存庫A中尋找,以此類推。

在下圖中,儲存my_repo庫包含上游儲存庫。上游儲存庫A有兩個上游儲存庫,並D有一個上游儲存庫。圖表中相同層級的上游儲存庫會以優先順序從左到右顯示 (儲存庫A的優先順序高於儲存庫 B,而儲存庫C的優先順序高於儲存庫 D)。

更複雜的上游儲存庫圖表,其中包含 2 個上游儲存庫 A 和 B,以及其他上游儲存庫。

在此範例中, 中套件版本的請求會依下列順序在儲存庫中my_repo尋找,直到找到為止,或直到套件管理員傳回 HTTP 404 Not Found回應給用戶端為止:

  1. my_repo

  2. A

  3. C

  4. D

  5. E

  6. B