View a markdown version of this page

支援不同 Braket 裝置上的 OpenQASM - Amazon Braket

本文為英文版的機器翻譯版本,如內容有任何歧義或不一致之處,概以英文版為準。

支援不同 Braket 裝置上的 OpenQASM

對於支援 OpenQASM 3.0 的裝置, action 欄位支援透過 GetDevice 回應的新動作,如下列 Rigetti和 IonQ 裝置範例所示。

//OpenQASM as available with the Rigetti device capabilities { "braketSchemaHeader": { "name": "braket.device_schema.rigetti.rigetti_device_capabilities", "version": "1" }, "service": {...}, "action": { "braket.ir.jaqcd.program": {...}, "braket.ir.openqasm.program": { "actionType": "braket.ir.openqasm.program", "version": [ "1" ], …. } } } //OpenQASM as available with the IonQ device capabilities { "braketSchemaHeader": { "name": "braket.device_schema.ionq.ionq_device_capabilities", "version": "1" }, "service": {...}, "action": { "braket.ir.jaqcd.program": {...}, "braket.ir.openqasm.program": { "actionType": "braket.ir.openqasm.program", "version": [ "1" ], …. } } }

對於支援脈衝控制的裝置, pulse 欄位會顯示在GetDevice回應中。下列範例顯示Rigetti裝置的pulse此欄位。

// Rigetti { "pulse": { "braketSchemaHeader": { "name": "braket.device_schema.pulse.pulse_device_action_properties", "version": "1" }, "supportedQhpTemplateWaveforms": { "constant": { "functionName": "constant", "arguments": [ { "name": "length", "type": "float", "optional": false }, { "name": "iq", "type": "complex", "optional": false } ] }, ... }, "ports": { "q0_ff": { "portId": "q0_ff", "direction": "tx", "portType": "ff", "dt": 1e-9, "centerFrequencies": [ 375000000 ] }, ... }, "supportedFunctions": { "shift_phase": { "functionName": "shift_phase", "arguments": [ { "name": "frame", "type": "frame", "optional": false }, { "name": "phase", "type": "float", "optional": false } ] }, ... }, "frames": { "q0_q1_cphase_frame": { "frameId": "q0_q1_cphase_frame", "portId": "q0_ff", "frequency": 462475694.24460185, "centerFrequency": 375000000, "phase": 0, "associatedGate": "cphase", "qubitMappings": [ 0, 1 ] }, ... }, "supportsLocalPulseElements": false, "supportsDynamicFrames": false, "supportsNonNativeGatesWithPulses": false, "validationParameters": { "MAX_SCALE": 4, "MAX_AMPLITUDE": 1, "PERMITTED_FREQUENCY_DIFFERENCE": 400000000 } } }

上述欄位詳細說明下列項目:

連接埠:

描述 QPU 上宣告的預先製作外部 (extern) 裝置連接埠,以及指定連接埠的關聯屬性。此結構中列出的所有連接埠都會在使用者提交的OpenQASM 3.0程式中預先宣告為有效的識別符。連接埠的其他屬性包括:

  • 連接埠 ID (portId)

    • 在 OpenQASM 3.0 中宣告為識別符的連接埠名稱。

  • 方向 (方向)

    • 連接埠的方向。驅動連接埠傳輸脈衝 (方向 “tx”),而測量連接埠接收脈衝 (方向 “rx”)。

  • 連接埠類型 (portType)

    • 此連接埠負責的動作類型 (例如,磁碟機、擷取或 ff - 快速流量)。

  • Dt (dt)

    • 代表指定連接埠上單一範例時間步驟的時間,以秒為單位。

  • Qubit 映射 (qubitMappings)

    • 與指定連接埠相關聯的 qubit。

  • 中心頻率 (centerFrequencies)

    • 連接埠上所有預先宣告或使用者定義影格的關聯中心頻率清單。如需詳細資訊,請參閱影格。

  • QHP 特定屬性 (qhpSpecificProperties)

    • 選用的映射,詳細說明有關 QHP 特定連接埠的現有屬性。

影格:

描述在 QPU 上宣告的預先製作外部影格,以及影格的相關屬性。此結構中列出的所有影格都會在使用者提交的OpenQASM 3.0程式中預先宣告為有效的識別符。影格的其他屬性包括:

  • 框架 ID (frameId)

    • 在 OpenQASM 3.0 中宣告為識別符的影格名稱。

  • 連接埠 ID (portId)

    • 影格的相關硬體連接埠。

  • 頻率 (頻率)

    • 影格的預設初始頻率。

  • 中心頻率 (centerFrequency)

    • 影格的頻率頻寬中心。一般而言,影格只能根據中心頻率調整為特定頻寬。因此,頻率調整應保持在中心頻率的特定差異內。您可以在驗證參數中找到頻寬值。

  • 階段 (階段)

    • 影格的預設初始階段。

  • 關聯的閘道 (associatedGate)

    • 與指定影格相關聯的閘道。

  • Qubit 映射 (qubitMappings)

    • 與指定影格相關聯的 qubit。

  • QHP 特定屬性 (qhpSpecificProperties)

    • 選用的映射,詳細說明 QHP 特定影格的現有屬性。

SupportsDynamicFrames:

描述是否可以透過 OpenPulsenewframe函數在 caldefcal區塊中宣告影格。如果這是 false,則只能在程式中使用影格結構中列出的影格。

SupportedFunctions:

除了指定OpenPulse函數的相關聯引數、引數類型和傳回類型之外,說明裝置支援的函數。若要查看使用 OpenPulse函數的範例,請參閱 OpenPulse 規格。目前,Raket 支援:

  • shift_phase

    • 將影格的階段轉移為指定的值

  • set_phase

    • 將影格的階段設定為指定的值

  • swap_phases

    • 交換兩個影格之間的階段。

  • shift_frequency

    • 將影格的頻率轉移為指定的值

  • set_frequency

    • 將影格的頻率設定為指定的值

  • 播放

    • 排程波形

  • capture_v0

    • 將擷取影格上的值傳回位元登錄

SupportedQhpTemplateWaveforms:

描述裝置上可用的預先建置波形函數,以及相關聯的引數和類型。根據預設,Raket Pulse 會在所有裝置上提供預先建置的波形常式,包括:

常數

數學方程式顯示參數為 t、tau 和 iq 的常數函數,其中輸出一律等於 iq。

τ 是波形的長度,而 iq 是複雜的數字。

def constant(length, iq)

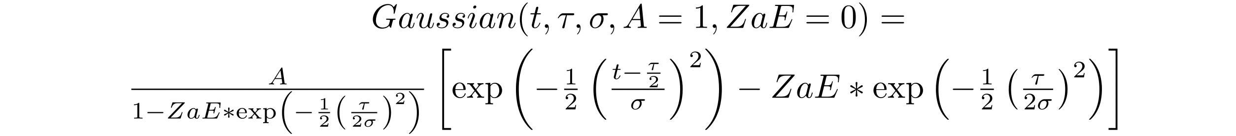
高斯文

顯示具有參數 t、tau、sigma、A=1 和 ZaE=0 的高斯函數的數學方程式。

τ 是波形的長度, σ是高斯的寬度, A是振幅。如果ZaE設定為 True,高斯會偏移並重新調整規模,以便在波形的開始和結束時等於零,並達到A最大值。

def gaussian(length, sigma, amplitude=1, zero_at_edges=False)

DRAG 高斯文

DRAG 高斯分佈的數學方程式,參數為 t、tau、sigma、beta、A=1 和 ZaE=0。

τ 是波形的長度, σ 是高斯的寬度, β 是免費參數, A是振幅。如果ZaE將 設定為 True,則由 Adiabatic Gate (DRAG) Gaussian 進行的衍生移除會偏移和重新調整規模,以便在波形的開始和結束時等於零,且實際部分達到A最大值。如需 DRAG 波形的詳細資訊,請參閱論文 Simple Pulses for 為避免微弱非線性 Qubits 中的洩漏

def drag_gaussian(length, sigma, beta, amplitude=1, zero_at_edges=False)

歐夫廣場

具有參數 t、Length、width、sigma、A=1 和 ZaE=0 的 Erf Square 分佈數學方程式。

其中 L是長度, W是波形的寬度,σ定義邊緣上升和下降的速度,t1​=(L−W)/2t22=(L+W)/2A是振幅。如果ZaE設定為 True,高斯會偏移並重新調整規模,以便在波形的開始和結束時等於零,並達到A最大值。下列方程式是重新調整規模的波形版本。

參數 ZaE=1 的重新調整規模 Erf Square 分佈的數學方程式。

a=erf(W/2σ)的位置b=erf(-t1​/σ)/2+erf(t2​/σ)/2

def erf_square(length, width, sigma, amplitude=1, zero_at_edges=False)

SupportsLocalPulseElements:

描述是否可以在defcal區塊中本機定義脈衝元素,例如連接埠、影格和波形。如果值為 false,則必須在cal區塊中定義元素。

SupportsNonNativeGatesWithPulses:

描述我們是否可以或不能將非原生閘道與脈衝程式結合使用。例如,如果沒有先defcal透過 為使用的 qubit 定義H閘道,您就無法在程式中使用非原生閘道,例如閘道。您可以在裝置功能下找到原生閘道nativeGateSet金鑰的清單。

ValidationParameters:

描述脈衝元素驗證界限,包括:

  • 波形的最大縮放/最大振幅值 (任意和預先建置)

  • 提供中心頻率的最大頻率頻寬,以 Hz 為單位

  • 最小脈衝長度/持續時間,以秒為單位

  • 脈衝長度/持續時間上限,以秒為單位

使用 OpenQASM 支援的操作、結果和結果類型

若要了解每個裝置支援哪些 OpenQASM 3.0 功能,您可以參考裝置功能輸出上 action 欄位中的 braket.ir.openqasm.program金鑰。例如,下列是適用於 Braket State Vector 模擬器 的支援操作和結果類型SV1。

... "action": { "braket.ir.jaqcd.program": { ... }, "braket.ir.openqasm.program": { "version": [ "1.0" ], "actionType": "braket.ir.openqasm.program", "supportedOperations": [ "ccnot", "cnot", "cphaseshift", "cphaseshift00", "cphaseshift01", "cphaseshift10", "cswap", "cy", "cz", "h", "i", "iswap", "pswap", "phaseshift", "rx", "ry", "rz", "s", "si", "swap", "t", "ti", "v", "vi", "x", "xx", "xy", "y", "yy", "z", "zz" ], "supportedPragmas": [ "braket_unitary_matrix" ], "forbiddenPragmas": [], "maximumQubitArrays": 1, "maximumClassicalArrays": 1, "forbiddenArrayOperations": [ "concatenation", "negativeIndex", "range", "rangeWithStep", "slicing", "selection" ], "requiresAllQubitsMeasurement": true, "supportsPhysicalQubits": false, "requiresContiguousQubitIndices": true, "disabledQubitRewiringSupported": false, "supportedResultTypes": [ { "name": "Sample", "observables": [ "x", "y", "z", "h", "i", "hermitian" ], "minShots": 1, "maxShots": 100000 }, { "name": "Expectation", "observables": [ "x", "y", "z", "h", "i", "hermitian" ], "minShots": 0, "maxShots": 100000 }, { "name": "Variance", "observables": [ "x", "y", "z", "h", "i", "hermitian" ], "minShots": 0, "maxShots": 100000 }, { "name": "Probability", "minShots": 1, "maxShots": 100000 }, { "name": "Amplitude", "minShots": 0, "maxShots": 0 } { "name": "AdjointGradient", "minShots": 0, "maxShots": 0 } ] } }, ...