使用 Amazon Connect 联系记录识别会议和转接 - Amazon Connect

本文属于机器翻译版本。若本译文内容与英语原文存在差异,则一律以英文原文为准。

使用 Amazon Connect 联系记录识别会议和转接

联系记录捕获与联系中心的联系人关联的事件。对于每个新联系,Amazon Connect 都会创建一个联系记录,并为该联系分配一个唯一的联系 ID。

每当座席咨询其他座席(Amazon Connect 内部或外部座席,使用免费电话或直接内部拨号)时,Amazon Connect 都会创建咨询环节联系记录,并为此环节发出新的联系 ID。

主联系记录和任何后续咨询环节联系记录可以通过多个联系 ID 字段链接在一起,例如,初始联系 ID、下一联系 ID 和上一联系 ID。

本主题介绍如何能够使用这些字段区分联系记录中的会议和转接。它还提供了确定咨询操作类型的逻辑:协商呼叫、会议或转接。

术语

本主题中使用了以下术语:

咨询呼叫

涉及三名参与者的呼叫:

  1. 发起者,例如客户

  2. 接收者,例如座席

  3. 协商参与者,例如主管或外部第三方翻译

咨询呼叫最终可能变成协商呼叫、转接呼叫或电话会议。

协商呼叫

在发起者被置于保持状态时,接收者座席与其他参与者(例如,同一 Amazon Connect 实例中的座席或外部实体)进行协商的呼叫。

呼叫断开连接后,Amazon Connect 会将座席置于呼叫后续工作(ACW)状态。联系记录会更新为进入该状态时的时间戳。在协商呼叫的情况下,协商参与者会比客户更早断开连接。

联系记录会记录座席在 AfterContactWorkStartTimestamp 下进入呼叫后续工作状态的时间戳。

转接呼叫

接收者会将发起者转接到协商参与者。在这种情况下,接收者座席会比协商座席更早进入呼叫后续工作状态。

电话会议

接收者邀请发起者与协商参与者举行会议(三方通话)。

Amazon Connect 允许三个以上的参与者一起参加会议。对于内部呼叫,无论是在协商还是会议情况下,协商参与者都会比接收者更早进入呼叫后续工作状态。但是,不同之处在于,在会议情况下,协商参与者也可以与客户交谈,而在咨询情况下,客户被接收者置于保持状态。

以下章节将介绍如何能够确定联系记录中的每种通话类型。

咨询呼叫的联系记录

假设客户呼叫 Agent1。该座席不会转移或咨询他人。当呼叫断开连接时,联系记录如以下示例所示(仅显示相关字段):

{ "AWSAccountId": "account-id", "Agent": { "ARN": "agent-arn", "AfterContactWorkStartTimestamp": "2024-08-02T17:50:53Z", . . "Username": "Agent1" }, "ContactId": "497f04ca-6de1-408f-9b8a-ec57bcc99b31", . . "InitialContactId": null, "NextContactId": null, "PreviousContactId": null, . . }

如果 Agent1 要与其他座席(Agent2)发起咨询呼叫,则为咨询、转接或会议。

以下示例联系记录显示了如何查找发起座席(Agent1)和接收者座席(Agent2):

  • 发起座席(Agent1)

    { "Agent": { "ARN": "agent-arn" "AfterContactWorkStartTimestamp": "2024-08-02T17:50:53Z", . . "Username": "Agent1" }, "ContactId": "497f04ca-6de1-408f-9b8a-ec57bcc99b31", "InitialContactId": null, "NextContactId": "6aa058d3-e771-4544-8e93-f5ce9c9003b3", . . }
  • 接收者座席(Agent2)

    { "Agent": { "ARN": "agent-arn", "AfterContactWorkStartTimestamp": "2024-08-02T17:51:07Z", . . "Username": "Agent2" }, "ContactId": "6aa058d3-e771-4544-8e93-f5ce9c9003b3", "InitialContactId": "497f04ca-6de1-408f-9b8a-ec57bcc99b31", "NextContactId": null, "PreviousContactId": "497f04ca-6de1-408f-9b8a-ec57bcc99b31", . . }

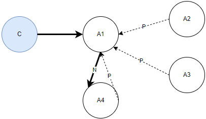
    下图显示了联系记录的两部分之间的关系:

    咨询呼叫期间,Agent1 与 Agent2 之间的关系。

    其中 Agent1(A1)和 Agent2(A2)通过以下方式链接:

    • N = 下一联系 ID。此字段显示在初始环节的联系记录中。这是该座席咨询的上一个座席的联系 ID(在本例中,上一个座席为 A2)。

    • P = 上一联系 ID 此字段显示在协商环节的联系记录中。这是呼叫该环节的环节的联系 ID。在本例中,为 A1。

    图中未显示的是:

    • 初始联系 ID:这是 Agent1(A1)与客户(C)之间首次互动的联系 ID。

    • 联系 ID:这是给定互动的唯一标识符。

    联系 ID、初始联系 ID 和上一联系 ID 均为系统属性。有关每个 ID 的说明,请参阅 系统属性

此模型可以扩展到涉及多个座席的协商呼叫。以下是如何对其进行扩展的使用案例。

  • 使用案例 1:Agent1 邀请 Agent2,Agent2 邀请 Agent3,Agent3 邀请 Agent4。上一联系 ID 始终为上一座席。下图阐明了此使用案例。

    A1 邀请 A2,A2 邀请 A3,A3 邀请 A4,上一联系 ID 始终为上一座席。
  • 使用案例 2:Agent1 邀请 Agent2,Agent1 邀请 Agent3,Agent1 邀请 Agent4。上一联系 ID 始终为 Agent1。下图阐明了此使用案例。

    A1 邀请 Agent2,A1 邀请 A3,A1 邀请 A4,上一联系 ID 始终为 A1。
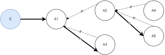
  • 使用案例 3:Agent1 邀请 Agent2,Agent2 邀请 Agent4 和 Agent5,Agent1 邀请 Agent3。Agent2 和 Agent3 的上一联系 ID 为 Agent1。对于 Agent4 和 Agent5,上一联系 ID 为 Agent2。下图阐明了此使用案例。

    A1 邀请 A2,A2 邀请 A4 和 A5,A1 邀请 A3。

如何识别咨询呼叫

  1. 第 1 步:将与主要联系关联的所有环节分组

  2. 第 2 步:通过使用其联系 ID 字段来确定每对之间的关系(上一联系 ID、下一联系 ID、初始联系 ID 和联系 ID)。检查联系记录中的其他字段以确定咨询操作的类型:协商/转接或会议。

第 1 步:将与主要联系关联的所有环节分组

此步骤可帮助您对给定发起者/呼叫者发起的所有呼叫进行分组。感兴趣的字段是“联系 ID”、“上一联系 ID”、“下一联系 ID”、“初始联系 ID”和“联系 ID”。这样也有助于您了解用于解析呼叫所采取的环节数。此步骤的工作流如下:

  1. 建立发起者:这是联系记录,其中 InitialContactId 字段为 NULL。此外,此记录的 PreviousContactId 也为 NULL

  2. 其中 InitialContactId 字段等于发起者联系记录的 ContactId 的每个联系记录都与此联系记录相关。

第 2 步:通过使用其联系 ID 字段来确定每对之间的关系

您可以使用以下逻辑来确定协商、转接与会议的关系。此逻辑使用联系记录中注明的时间戳字段。所有相关字段均已标记为 code

协商呼叫

发起者与另一方进行协商 – 在同一个 Amazon Connect 实例内(内部)或该实例外部(外部)(使用 DID 或免费电话号码)。

  • 内部协商特点:

    • 协商座席在发起者座席之前进入呼叫后续工作状态

    • 协商座席从不与客户交谈,这是因为发起者已将客户置于保持状态。因此,协商座席的字段 AgentInteractionDuration 为 0。

  • 外部协商特点:

    • 发起者的客户保持持续时间高于外部方的互动持续时间(ExternalThirdPartyInteractionDuration)。

电话会议

发起者通过使用直接内部拨号(DID)或免费电话号码,与同一 Amazon Connect 实例内的另一参与者(内部)或该实例外部的参与者(外部)举行会议。

  • 内部协商特点:

    • 协商座席在发起者座席之前进入呼叫后续工作状态。

    • 协商座席与客户交谈:AgentInteractionDuration 不为 0。

  • 外部协商特点:

    • 发起者的客户保持持续时间低于外部方的互动持续时间(ExternalThirdPartyInteractionDuration)。这意味着客户被短暂置于保持状态,然后所有参与者均参与了通话。

转接电话

发起者与另一方进行协商 – 在同一个 Amazon Connect 实例内(内部)或该实例外部(外部)(使用 DID 或免费电话号码)。

  • 内部协商特点:

    • 协商座席在发起者座席之后进入后续工作时间状态。

    • 发起者座席的字段 TransferCompletedTimestamp 不为 0。

  • 外部协商特点:

    • 发起者在外部环节断开连接(DisconnectTimestamp)之前进入呼叫后续工作状态(AfterContactWorkStartTimestamp)。

    • 发起者座席的字段 TransferCompletedTimestamp 不为 0。

代码段

以下示例代码片段(采用 SQL、Java 脚本和 Python)演示了如何通过利用上一节中描述的逻辑来识别会议、转接和咨询呼叫。这些代码片段仅作为示例提供,并不适用于生产环境。

SQL 代码

-- Conference transfer query DO NOT EDIT -- SELECT current_cr.contact_id, current_cr.initial_contact_id, current_cr.previous_contact_id, current_cr.next_contact_id, previous_cr.agent_username as initiator_agent_username, COALESCE ( current_cr.agent_username, current_cr.customer_endpoint_address ) as recipient_agent_username, current_cr.agent_connected_to_agent_timestamp, current_cr.agent_after_contact_work_start_timestamp, current_cr.transfer_completed_timestamp, CASE WHEN previous_cr.agent_after_contact_work_start_timestamp < current_cr.agent_after_contact_work_start_timestamp AND previous_cr.transfer_completed_timestamp IS NOT NULL THEN 'TRANSFER' WHEN previous_cr.agent_after_contact_work_start_timestamp > current_cr.agent_after_contact_work_start_timestamp AND current_cr.agent_interaction_duration_ms <= 2000 THEN 'CONSULT' WHEN previous_cr.agent_after_contact_work_start_timestamp > current_cr.agent_after_contact_work_start_timestamp AND current_cr.agent_interaction_duration_ms > 2000 THEN 'CONFERENCE' WHEN current_cr.agent_username is NULL AND current_cr.initiation_method = 'EXTERNAL_OUTBOUND' AND previous_cr.agent_after_contact_work_start_timestamp > current_cr.disconnect_timestamp AND previous_cr.agent_customer_hold_duration_ms > current_cr.external_third_party_interaction_duration_ms THEN 'EXTERNAL_CONSULT' WHEN current_cr.agent_username is NULL AND current_cr.initiation_method = 'EXTERNAL_OUTBOUND' AND previous_cr.agent_after_contact_work_start_timestamp > current_cr.disconnect_timestamp AND previous_cr.agent_customer_hold_duration_ms < current_cr.external_third_party_interaction_duration_ms THEN 'EXTERNAL_CONFERENCE' WHEN current_cr.agent_username is NULL AND current_cr.initiation_method = 'EXTERNAL_OUTBOUND' AND current_cr.disconnect_timestamp > previous_cr.transfer_completed_timestamp THEN 'EXTERNAL_TRANSFER' ELSE 'START' END AS TYPE FROM contact_record_link current_cr LEFT JOIN contact_record_link previous_cr ON previous_cr.contact_id = current_cr.previous_contact_id WHERE ( -- INPUT CONTACT ID -- current_cr.initial_contact_id = 'A CONTACT ID' or current_cr.contact_id = 'SAME CONTACT ID AS ABOVE' ) order by current_cr.agent_connected_to_agent_timestamp asc

Python 代码

"""Module Compare CTR's and establish relation""" ############################################################################### # Usage python ctr_processor.py [Initial Contact ID] # Example: python CTR_Processor.py 497f04ca-6de1-408f-9b8a-ec57bcc99b31 # # Have your CTR record JSON files in the same directory as this Python module # and execute the module as noted above. The input parameter is the # Initial Contact ID / the Contact ID of the first leg of the call. # ####################################################################z########### import json import re import os import sys from dateutil import parser PATH_OF_FILES = './' JSON = '.json' ENCODING = 'UTF-8' INTERACTION_DURN_THRESHOLD = 2 TYPE_INITIAL = 'STAND ALONE' TYPE_CONSULT = 'CONSULT' TYPE_EXT_CONSULT = 'EXT_CONSULT' TYPE_EXT_CONF = 'EXT_CONFERENCE' TYPE_CONFERENCE = 'CONFERENCE' TYPE_TRANSFER = 'TRANSFER' TYPE_UNKNOWN = 'UNKNOWN' CONTACT_STATE_INT = 'INTERMEDIATE' CONTACT_STATE_FINAL = 'FINAL' CONTACT_STATE_START = 'START' PRINT_INDENT = 4 def process_ctr_records(ctr_array): """ Function to process CTR Records""" relation = {} output_list = [] if ctr_array is None : return None for i, a_record in enumerate(ctr_array): if (prev_cid := a_record.get('PreviousContactId', None)) is not None: if (parent_ctr := get_parent_node(ctr_array, a_record['ContactId'], prev_cid)) is not None: relation = establish_relation(parent_ctr, a_record) else: relation = establish_parent(a_record) if relation is not None: output_list.append(relation) return output_list def establish_parent(a_ctr): """ Establish the first record - the one that doesn't have a Previous Contact ID""" if a_ctr.get('Agent', None) is not None: return { 'Agent': a_ctr['Agent']['Username'] ,'ConnectedToAgentTimestamp': a_ctr['Agent']['ConnectedToAgentTimestamp'] ,'Root Contact ID': a_ctr['ContactId'] ,'Type': TYPE_INITIAL ,'Contact State': CONTACT_STATE_START } def establish_relation(parent, child): """ Establish Conf / Transfer / Consult relation between two Agents""" if is_external_call(child): return establish_external_relation(parent, child) else: return establish_internal_relation(parent, child) def establish_external_relation(parent, child): """ Establish Conf / Transfer / Consult relation between two Agents - External call""" ret = { 'Parties': parent['Agent']['Username'] + ' <-> External:' + child['CustomerEndpoint']['Address'] ,'Contact State': parent.get('Contact State', CONTACT_STATE_INT) ,'ConnectedToAgentTimestamp': child['ConnectedToSystemTimestamp'] } parent_acw_start_ts = parser.parse(parent['Agent']['AfterContactWorkStartTimestamp']) child_disconnect_ts = parser.parse(child['DisconnectTimestamp']) if (parent_acw_start_ts - child_disconnect_ts).total_seconds() > 0: # Parent ended after child: Consult or conference ret['Type'] = TYPE_EXT_CONSULT if (parent['Agent']['CustomerHoldDuration'] - child['ExternalThirdParty']['ExternalThirdPartyInteractionDuration']) > INTERACTION_DURN_THRESHOLD else TYPE_EXT_CONF elif ((transfer_completed_ts := parser.parse(parent.get('TransferCompletedTimestamp', None))) is not None) and \ ((child_disconnect_ts - transfer_completed_ts).total_seconds() > 0): # ACW started after transfer was completed ret['Type'] = TYPE_TRANSFER return ret def establish_internal_relation(parent, child): """ Establish Conf / Transfer / Consult relation between two Agents - Internal call""" ret = { 'Parties': parent['Agent']['Username'] + ' <-> ' + child['Agent']['Username'] ,'Contact State': parent.get('Contact State', CONTACT_STATE_INT) ,'Child Contact ID': child.get('ContactId', 'NOTHING') ,'ConnectedToAgentTimestamp': child['Agent']['ConnectedToAgentTimestamp'] } parent_acw_start_ts = parser.parse(parent['Agent']['AfterContactWorkStartTimestamp']) child_acw_start_ts = parser.parse(child['Agent']['AfterContactWorkStartTimestamp']) if (parent_acw_start_ts - child_acw_start_ts).total_seconds() > 0: # Parent ended after child: Consult or conference ret['Type'] = TYPE_CONSULT if child['Agent']['AgentInteractionDuration'] < INTERACTION_DURN_THRESHOLD else TYPE_CONFERENCE elif ((transfer_completed_ts := parser.parse(parent.get('TransferCompletedTimestamp', None))) is not None) and \ ((child_acw_start_ts - transfer_completed_ts).total_seconds() > 0): # ACW started after transfer was completed ret['Type'] = TYPE_TRANSFER return ret def is_external_call(a_record): """Is this an external call """ if (a_record.get('Agent', None) is None and a_record.get('InitiationMethod', None) == 'EXTERNAL_OUTBOUND'): return True return False def get_parent_node(ctr_array, child_cid, child_prev_cid): """ Get the parent node when we have a Previous Contact ID""" for i, a_record in enumerate(ctr_array): if (parent_cid := a_record.get('ContactId', None)) is not None: if compare_strings(parent_cid, child_prev_cid): if (parent_next_cid := a_record.get('NextContactId', None)) is not None: if compare_strings(parent_next_cid, child_cid): return a_record | {'Contact State': CONTACT_STATE_FINAL} else: return a_record else: return a_record | {'Contact State': CONTACT_STATE_INT} def compare_strings(s1, s2): """ Compare two Contact IDs""" if s1 is None or s2 is None : return False return re.search(re.compile(s2), s1) def read_all_ctr_records(a_cid): """ Read all the CTR records for a given Initial Contact ID. Modify for S3 read""" ctr_array = [] for file_name in [file for file in os.listdir(PATH_OF_FILES) if file.endswith(JSON)]: with open(PATH_OF_FILES + file_name, encoding=ENCODING) as json_file: try: a_ctr = json.load(json_file) except ValueError: print('Error in parsing JSON. File name:[', file_name, ']') if a_ctr is not None: c_id = a_ctr['ContactId'] init_cid = a_ctr.get('InitialContactId', None) if compare_strings(a_cid, c_id): ctr_array.append(a_ctr) elif compare_strings(a_cid, init_cid): ctr_array.append(a_ctr) return ctr_array def main(): """ Entry point""" if len(sys.argv) < 2: print('Incorrect number of arguments (', len(sys.argv), ') --> python ctr_processor.py [Initial Contact ID]') return else: output_list = process_ctr_records(read_all_ctr_records(sys.argv[1])) if output_list is not None and len(output_list) > 0: output_list.sort(key=lambda x: x['ConnectedToAgentTimestamp']) for i, an_entry in enumerate(output_list): print(json.dumps(an_entry, indent=PRINT_INDENT)) else: print('Unable to find Contact ID:[', sys.argv[1], '] in the input CTR Records. Please check the files and try again.') if __name__ == "__main__": main()

JS 代码

// Has a dependency on the following Node.js modules: - date-fns, fs, path //sample input: node index.js 497f04ca-6de1-408f-9b8a-ec57bcc99b31 const fs = require('fs'); const path = require('path'); const { parseISO } = require('date-fns'); const PATH_OF_FILES = './'; const JSON_EXT = '.json'; const ENCODING = 'UTF-8'; const INTERACTION_DURATION_THRESHOLD = 2; const CONTACT_TYPES = { INITIAL: 'STAND ALONE', CONSULT: 'CONSULT', EXTERNAL_CONSULT: 'EXT_CONSULT', EXTERNAL_CONFERENCE: 'EXT_CONFERENCE', CONFERENCE: 'CONFERENCE', TRANSFER: 'TRANSFER', EXTERNAL_TRANSFER: 'EXT_TRANSFER', }; const CONTACT_STATES = { INTERMEDIATE: 'INTERMEDIATE', FINAL: 'FINAL', START: 'START', }; const PRINT_INDENT = 4; function processCtrRecords(ctrArray) { if (!ctrArray) return null; const outputList = []; ctrArray.forEach(record => { let relation = null; const prevCid = record.PreviousContactId; if (prevCid) { const parentRecord = findParentRecord(ctrArray, record.ContactId, prevCid); if (parentRecord) { relation = establishRelation(parentRecord, record); } } else { relation = establishInitialRecord(record); } if (relation) { outputList.push(relation); } }); return outputList; } function establishInitialRecord(record) { if (record.Agent) { return { 'Agent': record.Agent.Username, 'ConnectedToAgentTimestamp': record.Agent.ConnectedToAgentTimestamp, 'Root Contact ID': record.ContactId, 'Type': CONTACT_TYPES.INITIAL, 'Contact State': CONTACT_STATES.START, }; } } function establishRelation(parent, child) { return isExternalCall(child) ? establishExternalRelation(parent, child) : establishInternalRelation(parent, child); } function establishExternalRelation(parent, child) { const parentAcwStartTs = parent.Agent?.AfterContactWorkStartTimestamp ? parseISO(parent.Agent.AfterContactWorkStartTimestamp) : null; const childDisconnectTs = child.DisconnectTimestamp ? parseISO(child.DisconnectTimestamp) : null; const relation = { 'Parties': `${parent.Agent.Username} <-> External:${child.CustomerEndpoint.Address}`, 'Contact State': parent['Contact State'] || CONTACT_STATES.INTERMEDIATE, 'ConnectedToAgentTimestamp': child.ConnectedToSystemTimestamp, }; if (parentAcwStartTs && childDisconnectTs && (parentAcwStartTs - childDisconnectTs) > 0) { if (parent.Agent.CustomerHoldDuration - child.ExternalThirdParty.ExternalThirdPartyInteractionDuration > INTERACTION_DURATION_THRESHOLD) { relation['Type'] = CONTACT_TYPES.EXTERNAL_CONSULT; } else { relation['Type'] = CONTACT_TYPES.EXTERNAL_CONFERENCE; } } else if (parent.TransferCompletedTimestamp) { const transferCompletedTs = parseISO(parent.TransferCompletedTimestamp); if (transferCompletedTs && childDisconnectTs && (childDisconnectTs - transferCompletedTs) > 0) { relation['Type'] = CONTACT_TYPES.EXTERNAL_TRANSFER; } } return relation; } function establishInternalRelation(parent, child) { const parentAcwStartTs = parent.Agent?.AfterContactWorkStartTimestamp ? parseISO(parent.Agent.AfterContactWorkStartTimestamp) : null; const childAcwStartTs = child.Agent?.AfterContactWorkStartTimestamp ? parseISO(child.Agent.AfterContactWorkStartTimestamp) : null; const relation = { 'Parties': `${parent.Agent.Username} <-> ${child.Agent.Username}`, 'Contact State': parent['Contact State'] || CONTACT_STATES.INTERMEDIATE, 'Child Contact ID': child.ContactId || 'NOTHING', 'ConnectedToAgentTimestamp': child.Agent.ConnectedToAgentTimestamp, }; if (parentAcwStartTs && childAcwStartTs && (parentAcwStartTs - childAcwStartTs) > 0) { relation['Type'] = child.Agent.AgentInteractionDuration < INTERACTION_DURATION_THRESHOLD ? CONTACT_TYPES.CONSULT : CONTACT_TYPES.CONFERENCE; } else if (parent.TransferCompletedTimestamp) { const transferCompletedTs = parseISO(parent.TransferCompletedTimestamp); if (transferCompletedTs && childAcwStartTs && (childAcwStartTs - transferCompletedTs) > 0) { relation['Type'] = CONTACT_TYPES.TRANSFER; } } return relation; } function isExternalCall(record) { return !record.Agent && record.InitiationMethod === 'EXTERNAL_OUTBOUND'; } function findParentRecord(ctrArray, childCid, childPrevCid) { for (const record of ctrArray) { const parentCid = record.ContactId; if (compareStrings(parentCid, childPrevCid)) { const parentNextCid = record.NextContactId; if (parentNextCid && compareStrings(parentNextCid, childCid)) { return { ...record, 'Contact State': CONTACT_STATES.FINAL }; } else { return { ...record, 'Contact State': CONTACT_STATES.INTERMEDIATE }; } } } return null; } function compareStrings(s1, s2) { return s1 && s2 && s1.includes(s2); } function readAllCtrRecords(contactId) { return fs.readdirSync(PATH_OF_FILES) .filter(file => file.endsWith(JSON_EXT)) .map(fileName => JSON.parse(fs.readFileSync(path.join(PATH_OF_FILES, fileName), ENCODING))) .filter(record => compareStrings(contactId, record.ContactId) || compareStrings(contactId, record.InitialContactId)); } function main() { const [initialContactId] = process.argv.slice(2); if (!initialContactId) { console.log('Usage: node index.js [Initial Contact ID]'); return; } const outputList = processCtrRecords(readAllCtrRecords(initialContactId)); if (outputList.length) { outputList.sort((a, b) => new Date(a.ConnectedToAgentTimestamp) - new Date(b.ConnectedToAgentTimestamp)); outputList.forEach(entry => console.log(JSON.stringify(entry, null, PRINT_INDENT))); } else { console.log(`Unable to find Contact ID: [${initialContactId}]. Please check and try again.`); } } if (require.main === module) { main(); }