Como gerenciar eficiências de armazenamento - FSx para ONTAP

As traduções são geradas por tradução automática. Em caso de conflito entre o conteúdo da tradução e da versão original em inglês, a versão em inglês prevalecerá.

Como gerenciar eficiências de armazenamento

Ao permitir a eficiência do armazenamento em seus FSx volumes do ONTAP, você pode otimizar a utilização do armazenamento, reduzir os custos de armazenamento e melhorar o desempenho geral do seu sistema de arquivos.

nota

Recomendamos ativar a eficiência do armazenamento usando o FSx console da Amazon, a API ou AWS CLI para garantir que as configurações ideais de eficiência de armazenamento sejam aplicadas aos seus volumes.

ONTAPorganiza arquivos em blocos de dados de 4 kibibytes (KiB). A eficiência do armazenamento ocorre no nível do bloco de dados e não no nível dos arquivos individuais. Quando as eficiências de armazenamento estiverem habilitadas, o ONTAP emprega uma combinação de técnicas de redução de dados para eliminar dados duplicados, compactar o tamanho dos dados e reorganizar o layout dos dados para otimizar o uso do disco.

A eficiência do armazenamento é aplicada de duas maneiras. Elas são aplicadas aos dados em linha (na memória, antes da gravação dos dados em disco) para proporcionar economia imediata de armazenamento. Elas também são aplicadas aos dados em segundo plano (após a gravação dos dados em disco) na camada de armazenamento SSD por meio de trabalhos periódicos de eficiência para otimizar a utilização do armazenamento ao longo do tempo. As eficiências de armazenamento em segundo plano não funcionam nos dados depois que eles são hierarquizados no grupo de capacidade. No entanto, se os dados tivessem alguma economia de armazenamento enquanto estavam no SSD, essa economia será preservada quando os dados forem hierarquizados no grupo de capacidade.

nota

O ONTAP não é compatível com a habilitação de eficiências de armazenamento em volumes de proteção de dados (DP). No entanto, as economias de armazenamento obtidas no volume leitura/gravável (RW) de origem são preservadas quando os dados são replicados para o volume DP de destino.

Compressão de blocos de dados

Grupos de compressão são agrupamentos lógicos de dados que são gerenciados e comprimidos juntamente como um único bloco. O ONTAP empacota automaticamente os blocos de dados em grupos de compressão, o que reduz o espaço consumido em disco. Para otimizar o desempenho e a utilização do armazenamento, o ONTAP disponibiliza uma abordagem equilibrada para gerenciar dados ajustando o grau de compressão aplicado aos dados com base em seus padrões de acesso.

Por padrão, os dados são comprimidos em linha usando grupos de compressão de 8 KB para garantir o desempenho ideal ao gravar dados em um volume. Opcionalmente, você pode aplicar uma compressão mais pesada aos dados ativando a compressão de dados inativos em um volume para comprimir ainda mais os dados no SSD. A compressão de dados inativos usa grupos de compressão de 32 KB em dados frios para economizar ainda mais no armazenamento. Para obter mais informações, consulte o comando volume efficiency inactive-data-compression modify na NetApp ONTAP Documentation Center.

nota

A compactação de dados inativos consome IOPS adicionais de CPU e disco, e pode ser uma tarefa que consome muitos recursos. Recomendamos que você avalie o impacto no desempenho da execução da compactação de dados inativos em sua workloads antes de ativar esse recurso.

A imagem a seguir ilustra a economia de armazenamento que pode ser obtida com a compressão de blocos de dados.

Ilustra a economia de armazenamento que pode ser obtida na compressão de blocos de dados com grupos de compressão.

Desduplicação de blocos de dados

O ONTAP detecta e elimina blocos de dados duplicados para reduzir redundâncias nos dados. Os blocos duplicados são substituídos por referências a blocos exclusivos compartilhados.

Por padrão, os dados são desduplicados em linha para reduzir o espaço de armazenamento antes da gravação em disco. O ONTAP também executa uma varredura de desduplicação em segundo plano em intervalos especificados para identificar e eliminar dados duplicados após a gravação no disco. Durante essas verificações agendadas, o ONTAP processa um registro de alterações para identificar blocos de dados novos ou modificados desde a última verificação que ainda não foram desduplicados. Ao encontrar duplicatas, o ONTAP atualiza os metadados para apontar para uma única cópia dos blocos duplicados e marca os blocos redundantes como espaço livre pronto para ser recuperado.

nota

O ONTAP aplica a desduplicação a 4 KB de gravações recebidas por vez, então você pode ver uma economia menor de desduplicação ao executar workloads com gravações menores que 4 KB de tamanho.

FSx for ONTAP não oferece suporte à desduplicação entre volumes.

A imagem a seguir ilustra as economias de armazenamento que podem ser obtidas com a desduplicação.

Ilustra as economias de armazenamento que podem ser obtidas com a desduplicação.

Compactação de blocos de dados

O ONTAP consolida blocos de dados parcialmente preenchidos com menos de 4 KB cada em um bloco de 4 KB utilizado com mais eficiência.

Por padrão, os dados são compactados em linha para otimizar o layout dos dados conforme eles são gravados em disco a fim de minimizar a sobrecarga de armazenamento, reduzir a fragmentação e melhorar o desempenho de leitura.

A imagem a seguir ilustra as economias de armazenamento que podem ser obtidas com a compactação.

Ilustra as economias de armazenamento que podem ser obtidas com a compactação.

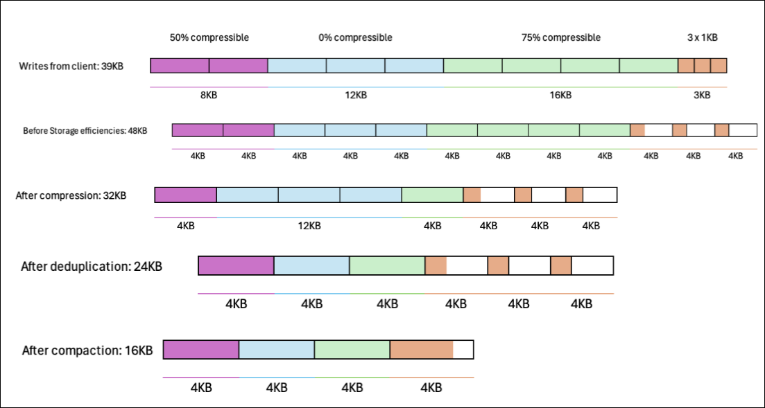
Exemplo: eficiências de armazenamento

A imagem a seguir ilustra como as eficiências de armazenamento são aplicadas aos dados.

Ilustra como as eficiências de armazenamento são aplicadas aos dados.