Avaliação da precisão do preditor - Amazon Forecast

O Amazon Forecast não está mais disponível para novos clientes. Os clientes existentes do Amazon Forecast podem continuar usando o serviço normalmente. Saiba mais

As traduções são geradas por tradução automática. Em caso de conflito entre o conteúdo da tradução e da versão original em inglês, a versão em inglês prevalecerá.

Avaliação da precisão do preditor

O Amazon Forecast produz métricas de precisão para avaliar preditores e ajudar você a escolher quais usar para gerar previsões. O Forecast avalia os preditores usando as métricas Root Mean Square Error (RMSE), Weighted Quantile Loss (wQL), Mean Absolute Percentage Error (MAPE), Mean Absolute Scaled Error (MASE) e Weighted Absolute Percentage Error (WAPE).

O Amazon Forecast usa backtesting para ajustar parâmetros e produzir métricas de precisão. Durante o backtesting, o Forecast divide automaticamente seus dados de séries temporais em dois conjuntos: um conjunto de treinamento e um conjunto de testes. O conjunto de treinamento é usado para treinar um modelo e gerar previsões para pontos de dados no conjunto de testes. O Forecast avalia a precisão do modelo comparando os valores previstos com os valores observados no conjunto de testes.

O Forecast permite avaliar preditores usando diferentes tipos de previsão, que podem ser um conjunto de previsões de quantil e a previsão média. A previsão média fornece uma estimativa pontual, enquanto as previsões de quantil normalmente fornecem um intervalo de resultados possíveis.

Cadernos Python

Para obter um step-by-step guia sobre como avaliar métricas preditoras, consulte Métricas de computação usando backtests em nível de item. .

Interpretação de métricas de precisão

O Amazon Forecast fornece as métricas Root Mean Square Error (RMSE), Weighted Quantile Loss (wQL), Average Weighted Quantile Loss (Average wQL), Mean Absolute Scaled Error (MASE), Mean Absolute Percentage Error (MAPE) e Weighted Absolute Percentage Error (WAPE) para avaliar seus preditores. Junto com as métricas do preditor geral, o Forecast calcula as métricas de cada janela de backtest.

Você pode visualizar as métricas de precisão dos preditores usando o kit de desenvolvimento de software (SDK) e o console do Amazon Forecast.

Forecast SDK

Usando a GetAccuracyMetricsOperação, especifique que você PredictorArn deseja visualizar as métricas RMSE, MASE, MAPE, WAPE, Average WQL e wQL para cada backtest.

{ "PredictorArn": "arn:aws:forecast:region:acct-id:predictor/example-id" }
Forecast Console

Escolha seu preditor na página Preditores. As métricas de precisão do preditor são mostradas na seção Métricas do preditor.

nota

Na média das métricas Average wQL, wQL, RMSE, MASE, MAPE e WAPE, um valor menor indica um modelo superior.

Weighted Quantile Loss (wQL)

A métrica Weighted Quantile Loss (wQL) mede a precisão de um modelo em um quantil especificado. É particularmente útil quando há custos diferentes de subprevisão e superprevisão. Ao definir o peso (τ) da função wQL, você pode incorporar automaticamente diferentes penalidades por subprevisão e superprevisão.

A função de perda é calculada da seguinte forma.

Mathematical equation for weighted quantile loss function with tau parameter.
Em que:

τ - um quantil no conjunto {0.01, 0.02, ..., 0.99}

qi,t(τ) - o quantil τ que o modelo prevê.

yi,t - o valor observado no ponto (i,t)

Os quantis (τ) de wQL podem variar de 0.01 (P1) a 0.99 (P99). A métrica wQL não pode ser calculada para a previsão média.

Por padrão, o Forecast calcula a wQL em 0.1 (P10), 0.5 (P50) e 0.9 (P90).

  • P10 (0.1): espera-se que o valor verdadeiro seja menor do que o valor previsto 10% do tempo.

  • P50 (0.5): espera-se que o valor verdadeiro seja menor do que o valor previsto 50% do tempo. Isso também é conhecido como previsão mediana.

  • P90 (0.9): espera-se que o valor verdadeiro seja menor do que o valor previsto 90% do tempo.

No varejo, o custo de estar com estoque insuficiente é geralmente maior do que o custo de estar com excesso de estoque . Portanto, a previsão em P75 (τ = 0.75) pode ser mais informativa do que a previsão no quantil médio (P50). Nesses casos, wQL[0.75] atribui um peso de penalidade maior à subprevisão (0,75) e um peso de penalidade menor à superprevisão (0,25).

Two probability distribution curves showing demand forecasting at P50 and P75 quantiles.

A figura acima mostra as diferentes previsões de demanda em wQL[0.50] e wQL[0.75]. O valor previsto em P75 é significativamente maior do que o valor previsto em P50 porque se espera que a previsão P75 atenda à demanda 75% do tempo, enquanto a previsão P50 só atenda à demanda 50% do tempo.

Quando a soma dos valores observados em todos os itens e pontos no tempo for aproximadamente zero em determinada janela de backtest, a expressão de perda de quantil ponderada será indefinida. Nesse caso, o Forecast gera a perda de quantil não ponderada, que é o numerador na expressão wQL acima.

O Forecast também calcula o wQL médio, que é o valor médio das perdas de quantil ponderadas em todos os quantis especificados. Por padrão, essa será a média de wQL[0.10], wQL[0.50] e wQL[0.90].

Weighted Absolute Percentage Error (WAPE)

A métrica Weighted Absolute Percentage Error (WAPE) mede o desvio geral dos valores previstos a partir dos valores observados. O WAPE é calculado tomando a soma dos valores observados e a soma dos valores previstos e calculando o erro entre esses dois valores. Um valor mais baixo indica um modelo mais preciso.

Quando a soma dos valores observados em todos os itens e pontos no tempo for aproximadamente zero em determinada janela de backtest, a expressão de erro de perda de quantil ponderada será indefinida. Nesse caso, o Forecast gera a soma de erros absolutos não ponderados, que é o numerador na expressão WAPE.

Mathematical formula for WAPE showing summation of absolute differences divided by sum of absolute values.
Em que:

yi,t - o valor observado no ponto (i,t)

ŷi,t - o valor previsto no ponto (i,t)

O Forecast usa a previsão média como valor previsto, ŷi,t.

O WAPE é mais robusto a valores discrepantes do que o Root Mean Square Error (RMSE) porque usa o erro absoluto em vez do erro quadrático.

Anteriormente, a Amazon Forecast se referia à métrica WAPE como Mean Absolute Percentage Error (MAPE) e usava a previsão mediana (P50) como valor previsto. O Forecast agora usa a previsão média para calcular o WAPE. A métrica wQL[0.5] é equivalente à métrica WAPE[median], conforme mostrado abaixo:

Mathematical equation showing the equivalence of wQL[0.5] and WAPE[median] metrics.

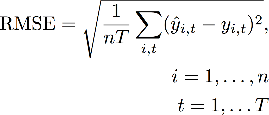
Root Mean Square Error (RMSE)

A métrica Root Mean Square Error (RMSE) é a raiz quadrada da média dos erros quadrados e, portanto, é mais sensível a valores discrepantes do que outras métricas de precisão. Um valor mais baixo indica um modelo mais preciso.

Mathematical formula for Root Mean Square Error (RMSE) with summation and square root.
Em que:

yi,t - o valor observado no ponto (i,t)

ŷi,t - o valor previsto no ponto (i,t)

nT - o número de pontos de dados em um conjunto de testes

O Forecast usa a previsão média como valor previsto, ŷi,t. Ao calcular as métricas do preditor, nT é o número de pontos de dados em uma janela de backtest.

O RMSE usa o valor quadrático dos resíduos, o que aumenta o impacto dos valores discrepantes. Nos casos de uso em que apenas algumas grandes previsões erradas podem ser muito caras, o RMSE é a métrica mais relevante.

Os preditores criados antes de 11 de novembro de 2020 calcularam o RMSE usando o quantil de 0,5 (P50) por padrão. O Forecast agora usa a previsão média.

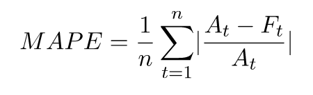
Mean Absolute Percentage Error (MAPE)

A métrica Mean Absolute Percentage Error (MAPE) toma o valor absoluto do erro percentual entre os valores observados e previstos para cada unidade de tempo e, em seguida, calcula a média desses valores. Um valor mais baixo indica um modelo mais preciso.

Mathematical formula for Mean Absolute Percentage Error (MAPE) calculation.
Em que:

At - o valor observado no ponto t

Ft - o valor previsto no ponto t

n - o número de pontos de dados na série temporal

O Forecast usa a previsão média como valor previsto, Ft.

O MAPE é útil nos casos em que os valores diferem significativamente entre os pontos no tempo e os valores discrepantes têm um impacto significativo.

Mean Absolute Scaled Error (MASE)

A métrica Mean Absolute Scaled Error (MASE) é calculada dividindo o erro médio por um fator de escalabilidade. Esse fator de escalabilidade depende do valor da sazonalidade, m, que é selecionado com base na frequência da previsão. Um valor mais baixo indica um modelo mais preciso.

Mathematical formula for Mean Absolute Scaled Error (MASE) with summation and absolute value notations.
Em que:

Yt - o valor observado no ponto t

Yt-m - o valor observado no ponto t-m

e j - o erro no ponto j (valor observado - valor previsto)

m - o valor da sazonalidade

O Forecast usa a previsão média como valor previsto.

O MASE é ideal para conjuntos de dados de natureza cíclica ou com propriedades sazonais. Por exemplo, a previsão de itens com alta demanda durante o verão e com baixa demanda durante o inverno pode se beneficiar ao considerar o impacto sazonal.

Exportação de métricas de precisão

nota

Os arquivos de exportação podem retornar diretamente informações da importação do conjunto de dados. Isso tornará os arquivos vulneráveis à injeção de CSV se os dados importados contiverem fórmulas ou comandos. Por esse motivo, os arquivos exportados poderão gerar avisos de segurança. Para evitar atividades mal intencionadas, desabilite os links e as macros ao realizar a leitura de arquivos exportados.

O Forecast permite que você exporte os valores previstos e as métricas de precisão gerados durante o backtesting.

Você pode usar essas exportações para avaliar itens específicos em pontos no tempo e quantis específicos e entender melhor seu preditor. As exportações de backtest são enviadas para um local específico do S3 e contêm duas pastas:

  • forecasted-values: contém arquivos CSV ou Parquet com valores previstos em cada tipo de previsão para cada backtest.

  • accuracy-metrics-values: contém arquivos CSV ou Parquet com métricas para cada backtest, junto com a média de todos os backtests. Essas métricas incluem métrica wQL de cada quantil, bem como a média de wQL, RMSE, MASE, MAPE e WAPE.

A pasta forecasted-values contém valores previstos em cada tipo de previsão para cada janela de backtest. Também inclui informações sobre itens IDs, dimensões, registros de data e hora, valores-alvo e horários de início e término da janela de backtest.

A pasta accuracy-metrics-values contém métricas de precisão para cada janela de backtest, bem como a média das métricas em todas as janelas de backtest. Ela contém a métrica wQL de cada quantil especificado, bem como a média das métricas wQL, RMSE, MASE, MAPE e WAPE.

Os arquivos em ambas as pastas seguem a convenção de nomenclatura: <ExportJobName>_<ExportTimestamp>_<PartNumber>.csv.

Você pode exportar as métricas de precisão usando o kit de desenvolvimento de software (SDK) e o console do Amazon Forecast.

Forecast SDK

Usando a operação CreatePredictorBacktestExportJob, especifique o local do S3 e o perfil do IAM no objeto DataDestination, juntamente com PredictorArn e PredictorBacktestExportJobName.

Por exemplo:

{ "Destination": { "S3Config": { "Path": "s3://bucket/example-path/", "RoleArn": "arn:aws:iam::000000000000:role/ExampleRole" } }, "Format": PARQUET; "PredictorArn": "arn:aws:forecast:region:predictor/example", "PredictorBacktestExportJobName": "backtest-export-name", }
Forecast Console

Escolha seu preditor na página Preditores. Na seção Métricas de preditor, escolha Exportar resultados de backtest.

Durante a fase Criar exportação de backtest de preditor, defina os campos Nome da exportação, Perfil do IAM e Local de exportação de backtest de preditor do S3.

Form for exporting predictor backtest data to S3, with fields for name, IAM role, and location.

Como escolher os tipos de previsão

O Amazon Forecast usa tipos de previsão para criar previsões e avaliar preditores. Os tipos de previsão do Forecast são fornecidos de duas maneiras:

  • Tipo de previsão média: uma previsão que usa a média como valor esperado. Normalmente usado como previsões pontuais em um determinado ponto no tempo.

  • Tipo de previsão de quantil: uma previsão em um quantil especificado. Normalmente usado para fornecer um intervalo de previsão, que é uma faixa de valores possíveis para contabilizar a incerteza da previsão. Por exemplo, uma previsão no quantil 0.65 estimará um valor menor do que o valor observado 65% do tempo.

Por padrão, o Forecast usa os seguintes valores para os tipos de previsão de preditor: 0.1 (P10), 0.5 (P50) e 0.9 (P90). Você pode escolher até cinco tipos de previsão personalizados, incluindo mean e quantis que variam de 0.01 (P1) a 0.99 (P99).

Os quantis podem fornecer um limite superior e inferior para previsões. Por exemplo, o uso dos tipos de previsão 0.1 (P10) e 0.9 (P90) fornece uma faixa de valores conhecida como intervalo de confiança de 80%. Espera-se que o valor observado seja menor que o valor P10 em 10% do tempo e que o valor P90 seja maior que o valor observado em 90% do tempo. Ao gerar previsões em p10 e P90, espera-se que o valor verdadeiro fique entre esses limites 80% do tempo. Essa faixa de valores é representada pela região sombreada entre P10 e P90 na figura abaixo.

Graph showing forecast quantiles with P99, P90, P50, P10, and P1 lines over time.

Você também pode usar uma previsão de quantil como previsão pontual quando o custo da subprevisão diferir do custo da superprevisão. Por exemplo, em alguns casos de varejo, o custo de ter um estoque insuficiente é maior do que o custo de ter um estoque excessivo. Nesses casos, a previsão em 0,65 (P65) é mais informativa do que a previsão mediana (P50) ou média.

Ao treinar um preditor, você pode escolher tipos de previsão personalizados usando o kit de desenvolvimento de software (SDK) e o console do Amazon Forecast.

Forecast SDK

Usando a operação CreateAutoPredictor, especifique os tipos de previsão personalizados no parâmetro ForecastTypes. Formate o parâmetro como uma matriz de strings.

Por exemplo, para criar um preditor nos tipos de previsão 0.01, mean, 0.65 e 0.99, use o código a seguir.

{ "ForecastTypes": [ "0.01", "mean", "0.65", "0.99" ], },
Forecast Console

Durante a fase Treinar preditor, especifique os tipos de previsão personalizados no campo Tipos de previsão. Escolha Adicionar novo tipo de previsão e insira um valor de tipo de previsão.

Por exemplo, para criar um preditor usando os tipos de previsão 0.01, mean, 0.65 e 0.99, insira os seguintes valores nos campos Tipos de previsão mostrados abaixo.

Form for entering forecast types with fields for type names and quantile values between .01 and .99.

Como trabalhar com preditores antigos

Definição de parâmetros de backtesting

O Forecast usa o backtesting para calcular métricas de precisão. Se você executar vários backtests, o Forecast calculará a média de cada métrica em todas as janelas de backtest. Por padrão, o Forecast calcula um backtest assumindo que o tamanho da janela do backtest (conjunto de testes) é igual ao comprimento do horizonte de previsão (janela de previsão). Você pode definir o tamanho da janela de backtest e o número de cenários de backtest ao treinar um preditor.

O Forecast omite os valores preenchidos do processo de backtesting, e qualquer item com valores preenchidos em uma determinada janela de backtest será excluído desse backtest. Isso ocorre porque o Forecast só compara os valores previstos com os valores observados durante o backtesting, e os valores preenchidos não são valores observados.

A janela de backtest deve ter, no mínimo, o comprimento do horizonte de previsão e ser menor que a metade do comprimento de todo o conjunto de dados de séries temporais de destino. Você pode escolher entre 1 e 5 backtests.

Graph showing training and testing periods for four backtest scenarios over time.

Geralmente, aumentar o número de backtests produz métricas de precisão mais confiáveis, já que uma parte maior da série temporal é usada durante o teste e o Forecast é capaz de calcular a média das métricas em todos os backtests.

Você pode definir os parâmetros de backtesting usando o kit de desenvolvimento de software (SDK) e o console do Amazon Forecast.

Forecast SDK

Usando a CreatePredictoroperação, defina os parâmetros do backtest no tipo de EvaluationParametersdados. Especifique o comprimento do conjunto de testes durante o backtesting com o parâmetro BackTestWindowOffset e o número de janelas de backtest com o parâmetro NumberOfBacktestWindows.

Por exemplo, para executar dois backtests com um conjunto de testes de 10 pontos de tempo, use o código a seguir.

"EvaluationParameters": { "BackTestWindowOffset": 10, "NumberOfBacktestWindows": 2 }
Forecast Console

Durante a fase Treinar preditor, defina o comprimento do conjunto de testes durante o backtesting com o campo Deslocamento da janela de backtest e o número de janelas de backtest com o campo Número de janelas de backtest.

Por exemplo, para executar dois backtests com um conjunto de testes de 10 pontos de tempo, use o código a seguir.

Input fields for number of backtest windows and backtest window offset with example values.

HPO e AutoML

Por padrão, o Amazon Forecast usa os quantis 0.1 (P10), 0.5 (P50) e 0.9 (P90) para ajuste de hiperparâmetros durante a otimização de hiperparâmetros (HPO) e para seleção de modelos durante o AutoML. Se você especificar tipos de previsão personalizados ao criar um preditor, o Forecast usará esses tipos de previsão durante o HPO e o AutoML.

Se forem especificados tipos de previsão personalizados, o Forecast usará esses tipos de previsão especificados para determinar os melhores resultados durante o HPO e o AutoML. Durante o HPO, o Forecast usa a primeira janela de backtest para encontrar os valores ideais dos hiperparâmetros. Durante o AutoML, o Forecast usa as médias em todas as janelas de backtest e os valores ideais dos hiperparâmetros do HPO para encontrar o algoritmo ideal.

Para o AutoML e o HPO, o Forecast escolhe a opção que minimiza as perdas médias nos tipos de previsão. Você também pode otimizar seu preditor durante o AutoML e o HPO com uma das seguintes métricas de precisão: Average Weighted Quantile loss (Average wQL), Weighted Absolute Percentage Error (WAPE), Root Mean Squared Error (RMSE), Mean Absolute Percentage Error (MAPE) ou Mean Absolute Scaled Error (MASE).

Você pode escolher a métrica de otimização usando o kit de desenvolvimento de software (SDK) e o console do Amazon Forecast.

Forecast SDK

Usando a operação CreatePredictor, especifique os tipos de previsão personalizados no parâmetro ObjectiveMetric.

O parâmetro ObjectiveMetric aceita os seguintes valores:

  • AverageWeightedQuantileLoss - Perda média de quantil ponderada

  • WAPE - Erro percentual absoluto ponderado

  • RMSE - Erro quadrático médio da raiz

  • MAPE - Erro percentual absoluto médio

  • MASE - Erro escalado absoluto médio

Por exemplo, para criar um preditor com o AutoML e otimizar usando a métrica de precisão Mean Absolute Scaled Error (MASE), use o código a seguir.

{ ... "PerformAutoML": "true", ... "ObjectiveMetric": "MASE", },
Forecast Console

Durante a fase Treinar preditor, escolha Automático (AutoML). Na seção Métrica objetiva, escolha a métrica de precisão a ser usada para otimizar seu preditor.

Por exemplo, a imagem a seguir mostra um preditor criado com o AutoML e otimizado por meio da métrica de precisão Mean Absolute Scaled Error (MASE).

Ao usar o console, você só pode especificar a métrica objetiva ao criar um preditor usando o AutoML. Se você selecionar manualmente um algoritmo, não poderá especificar a métrica objetiva da HPO.