1단계: 사용 사례 및 논리적 데이터 모델 식별 - AWS 권장 가이드

기계 번역으로 제공되는 번역입니다. 제공된 번역과 원본 영어의 내용이 상충하는 경우에는 영어 버전이 우선합니다.

1단계: 사용 사례 및 논리적 데이터 모델 식별

한 자동차 회사는 사용 가능한 모든 자동차 부품을 저장 및 검색하고 서로 다른 구성 요소와 부품 간의 관계를 구축하는 트랜잭션 구성 요소 관리 시스템을 빌드하려고 합니다. 예를 들어, 자동차에는 여러 개의 배터리가 포함되고, 각 배터리에는 여러 개의 고급 모듈이 포함되고, 각 모듈에는 여러 개의 셀이 포함되고, 각 셀에는 여러 개의 하위 수준 구성 요소가 포함되어 있습니다.

일반적으로 계층적 관계 모델을 구축하려면 Amazon Neptune과 같은 그래프 데이터베이스가 더 적합합니다. 그러나 Amazon DynamoDB가 유연성, 보안, 성능 및 확장성 측면에서 계층형 데이터 모델링에 더 나은 대안인 경우도 있습니다.

예를 들어, 80~90%의 쿼리가 트랜잭션이고 DynamoDB가 적합한 시스템을 구축할 수 있습니다. 이 예제에서 나머지 10~20%의 쿼리는 관계형 쿼리이며, 이 경우 Neptune과 같은 그래프 데이터베이스가 더 적합합니다. 이 경우, 전체 쿼리 중 10~20%만을 처리하기 위해 아키텍처에 추가 데이터베이스를 포함하면 비용이 증가할 수 있습니다. 또한 여러 시스템을 유지 관리하고 데이터를 동기화해야 하는 운영 부담도 증가합니다. 대신 DynamoDB에서 10~20%의 관계형 쿼리를 모델링할 수 있습니다.

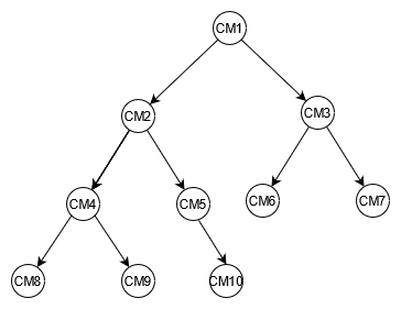
자동차 구성 요소의 예제 트리를 도식화하면 부품 간의 관계를 매핑하는 데 도움이 될 수 있습니다. 다음 다이어그램은 4개 수준의 종속성 그래프를 보여줍니다. CM1은 예제 자동차 자체의 최상위 구성 요소로, 2개의 예제 배터리를 위한 2개의 하위 구성 요소인 CM2와 CM3이 있습니다. 각 배터리에는 모듈인 2개의 하위 구성 요소가 있습니다. CM2에는 모듈 CM4와 CM5가 있고 CM3에는 모듈 CM6과 CM7이 있습니다. 각 모듈에는 셀인 여러 하위 구성 요소가 있습니다. CM4 모듈에는 CM8과 CM9라는 2개의 셀이 있습니다. CM5에는 CM10이라는 셀이 1개 있습니다. CM6와 CM7에는 아직 관련 셀이 없습니다.

앞서 설명한 관계를 보여주는 예제 트리 다이어그램

이 가이드에서는 이 트리와 해당 구성 요소 식별자를 참조로 사용합니다. 최상위 구성 요소를 상위라고 하고 하위 구성 요소를 하위라고 합니다. 예를 들어, 상단 구성 요소 CM1은 CM2 및 CM3의 상위입니다. CM2는 CM4 및 CM5의 상위입니다. 이는 상위-하위 관계를 그래프로 나타낸 것입니다.

트리에서 구성 요소의 전체 종속성 그래프를 볼 수 있습니다. 예를 들어, CM8은 CM4에 종속되고, CM4는 CM2에 종속되고, CM2는 CM1에 종속됩니다. 트리는 전체 종속성 그래프를 경로로 정의합니다. 경로는 다음 두 가지를 설명합니다.

  • 종속성 그래프

  • 트리에서의 위치

비즈니스 요구 사항 템플릿 작성:

사용자에 대한 정보를 제공하십시오.

User

설명

직원

자동차 회사의 내부 직원으로, 자동차와 구성 요소에 대한 정보를 필요로 함

데이터 출처 및 수집 방식을 제공합니다.

출처

설명

User

관리 시스템

사용 가능한 자동차 부품 및 다른 구성 요소와 부품과의 관계와 관련된 모든 데이터를 저장하는 시스템입니다.

직원

데이터 사용 방식을 제공합니다.

소비자

설명

User

관리 시스템

상위 구성 요소 ID에 대한 모든 직계 하위 구성 요소를 조회합니다.

직원

관리 시스템

구성 요소 ID에 대한 모든 하위 구성 요소의 목록을 재귀적으로 조회합니다.

직원

관리 시스템

구성 요소의 상위 항목을 확인합니다.

직원