View a markdown version of this page

스토리지 효율성 관리 - FSx for ONTAP

기계 번역으로 제공되는 번역입니다. 제공된 번역과 원본 영어의 내용이 상충하는 경우에는 영어 버전이 우선합니다.

스토리지 효율성 관리

FSx for ONTAP 볼륨에서 스토리지 효율성을 활성화하면 스토리지 사용률을 최적화하고 스토리지 비용을 절감하며 파일 시스템의 성능을 전반적으로 개선할 수 있습니다.

참고

볼륨에 최적의 스토리지 효율성 설정이 적용되도록 Amazon FSx 콘솔, API 또는 AWS CLI 를 사용하여 스토리지 효율성을 활성화하는 것이 좋습니다.

ONTAP은 파일을 4KB(KiB) 데이터 블록으로 구성합니다. 스토리지 효율성은 개별 파일 수준에서가 아닌 데이터 블록 수준에서 발생합니다. 스토리지 효율성이 활성화되면 ONTAP는 중복 데이터를 제거하고, 데이터 크기를 압축하고, 최적의 디스크 사용을 위해 데이터 레이아웃을 재구성하는 데이터 감소 기술을 조합하여 사용합니다.

스토리지 효율성은 두 가지 방식으로 적용합니다. 데이터 인라인(데이터가 디스크에 기록되기 전, 메모리에 저장)에 적용되어 즉각적인 스토리지 절감 효과를 제공합니다. 또한 주기적인 효율화 작업을 통해 SSD 스토리지 계층의 백그라운드 데이터(데이터가 디스크에 기록된 후)에도 적용되어 시간이 지남에 따라 스토리지 사용률을 최적화합니다. 백그라운드 스토리지의 효율성은 용량 풀에 계층화된 데이터에 대해서는 실행되지 않습니다. 그러나 데이터가 SSD에 있는 동안 저장 공간을 절약한 경우, 데이터가 용량 풀로 계층화될 때 이러한 절약 효과가 보존됩니다.

참고

ONTAP는 데이터 보호(DP) 볼륨에서 스토리지 효율성 활성화를 지원하지 않습니다. 그러나 데이터를 대상 DP 볼륨에 복제하면 소스 RW(읽기-쓰기 가능) 볼륨에서 달성된 스토리지 절감 효과가 유지됩니다.

데이터 블록 압축

압축 그룹은 단일 블록으로 함께 관리 및 압축되는 데이터의 논리적 그룹입니다. 는 데이터 블록을 압축 그룹으로 ONTAP는 자동으로 묶어 디스크에서 소비되는 공간을 줄입니다. 성능 및 스토리지 사용률을 최적화하기 위해 ONTAP는 액세스 패턴을 기반으로 데이터에 적용되는 압축 정도를 조정하여 데이터 관리에 대한 균형 잡힌 접근 방식을 제공합니다.

기본적으로 데이터는 볼륨에 데이터를 쓸 때 최적의 성능을 보장하기 위해 8KB 압축 그룹을 사용하여 인라인으로 압축합니다. 선택적으로 볼륨에서 비활성 데이터 압축을 활성화하여 데이터에 더 무거운 압축을 적용하여 SSD에서 데이터를 추가로 압축될 수 있습니다. 비활성 데이터 압축은 콜드 데이터에 32KB 압축 그룹을 사용하여 스토리지를 추가로 절감됩니다. 자세한 내용은 NetApp ONTAP Documentation Center의 volume efficiency inactive-data-compression modify 명령을 참조하십시오.

참고

비활성 데이터 압축은 CPU와 디스크 IOPS를 추가로 소모하며 리소스 집약적인 작업이 될 수 있습니다. 이 기능을 활성화하기 전에 비활성 데이터 압축을 실행하는 것이 워크로드에 미치는 성능 영향을 평가하는 것이 좋습니다.

다음 이미지는 데이터 블록을 압축하여 얻을 수 있는 스토리지 절감 효과를 보여줍니다.

압축 그룹으로 데이터 블록을 압축하여 얻을 수 있는 스토리지 절감 효과를 보여줍니다.

데이터 블록 중복 제거

ONTAP는 중복 데이터 블록을 감지하고 제거하여 데이터의 중복을 줄입니다. 중복된 블록은 공유 고유 블록에 대한 참조로 대체됩니다.

기본적으로 데이터는 디스크에 기록되기 전에 스토리지 공간을 줄이기 위해 인라인으로 중복 제거됩니다. 또한 ONTAP는 지정된 간격으로 백그라운드 중복 제거 스캐너를 실행하여 디스크에 기록된 후 중복 데이터를 식별하고 제거합니다. 이러한 예약된 스캔 중에 ONTAP는 변경 로그를 처리하여 아직 중복 제거되지 않은 마지막 스캔 이후의 새 데이터 블록 또는 수정된 데이터 블록을 식별합니다. 중복이 발견되면 ONTAP는 복제된 블록의 단일 복사본을 가리키도록 메타데이터를 업데이트하고 중복 블록을 회수할 준비가 된 여유 공간으로 표시합니다.

참고

ONTAP는 한 번에 4KB의 입력되는 쓰기에 중복 제거를 적용하므로 크기가 4KB 미만인 쓰기로 워크로드를 실행할 때 중복 제거 비용 절감이 줄어들 수 있습니다.

FSx for ONTAP는 교차 볼륨 중복 제거를 지원하지 않습니다.

다음 이미지는 중복 제거를 통해 얻을 수 있는 스토리지 절감 효과를 보여줍니다.

중복 제거를 통해 얻을 수 있는 스토리지 절감 효과를 보여줍니다.

데이터 블록 압축

ONTAP는 각각 4KB 미만의 부분적으로 채워진 데이터 블록을 보다 효율적으로 활용되는 4KB 블록으로 통합합니다.

기본적으로 데이터는 인라인으로 압축되어 디스크에 기록될 때 데이터의 레이아웃을 최적화하여 스토리지 오버헤드를 최소화하고 조각화를 줄이며 읽기 성능을 향상시킵니다.

다음 이미지는 압축을 통해 얻을 수 있는 저장 공간 절약 효과를 보여줍니다.

압축을 통해 얻을 수 있는 저장 공간 절약 효과를 보여줍니다.

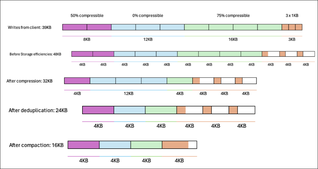
예제: 스토리지 효율성

다음 이미지는 데이터에 스토리지 효율성을 적용하는 방법을 보여줍니다.

스토리지 효율성이 데이터에 어떻게 적용되는지 설명합니다.