View a markdown version of this page

非対称 Shapley 値 - Amazon SageMaker AI

翻訳は機械翻訳により提供されています。提供された翻訳内容と英語版の間で齟齬、不一致または矛盾がある場合、英語版が優先します。

非対称 Shapley 値

SageMaker Clarify 時系列予測モデルの説明ソリューションは、協調ゲーム理論を基盤とした Feature Attribution メソッドであり、SHAP の概念と類似しています。具体的には、Clarify はランダムな順序のグループ値を使用します。これは、機械学習と説明可能性では非対称 Shapley 値とも呼ばれます。

背景

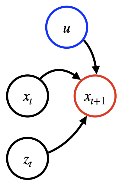
特定の予測モデル f への入力特徴量の貢献度を計算することが目的です。予測モデルでは、次の入力を受け入れます。

  • 過去の時系列 (ターゲット TS)。これは例えば、パリからベルリン間のルートの過去の毎日の列車乗客数であり、xt で表されます。

  • (オプション) 共変量時系列。これは例えば、祝い事や天気のデータで、zt ​∈ RS で表されます。共変量 TS を使用する場合、過去の時間ステップのみに使用できる場合もあれば、(祝い事のカレンダーに含まれる) 将来の時間ステップに使用できる場合もあります。

  • (オプション) 静的共変量。例えば、サービス品質 (1 級や 2 級など) は、u ∈ RE で示されます。

静的共変量、動的共変量、またはその両方は、特定の応用シナリオに応じて省略できます。予測期間 K ≥ 0 (例: K=30 日間) の場合、モデル予測は f(x[1:T], z[1:T+K], u) = x[T+1:T +K+1] 式として特徴を表すことができます。

次の図は、一般的な予測モデルの依存関係構造を説明しています。t+1 時点での予測は、上記の 3 つのタイプの入力によって異なります。

一般的な予測モデルの依存関係の構造

Method

説明は、元の入力によって導出された一連のポイントで時系列モデル f をクエリすることで計算されます。ゲーム理論の構成に従って、Clarify は入力の一部を難読化 (つまり、ベースライン値に設定) することで導かれる予測の差を反復的に平均化します。時間構造は、時系列順、反時系列順、またはその両方でナビゲートできます。時系列の説明は、最初の時間ステップから情報を反復的に追加することによって構築され、逆時系列の説明は最後のステップからの情報を追加します。株価の予測など、最新性バイアスが存在する場合は、後者のモードを使用する方が適切である可能性があります。計算された説明の重要な特性の 1 つに、モデルが確定的な出力を提供する場合、説明が元のモデル出力に合計されることがあります。

結果の貢献度

結果の属性は、各予測時間ステップでの最終予測に対する特定の時間ステップまたは入力特徴量の貢献を示すスコアです。Clarify では、説明で次の 2 つの粒度を提供します。

  • 時間単位の説明は低コストであり、特定の時間ステップに関する情報のみを提供します。例えば、過去の 19 日目の情報が将来の 1 日目の予測にどの程度貢献したかなど、特定の時間ステップに関する情報のみを提供します。このような貢献度は、静的共変量を個別には説明することなく、ターゲットおよび共変量の時系列の説明を集約したりすることはありません。貢献度は、マトリクス A であり、各 Atk は時間ステップtT+k の予測に対する貢献度です。モデルが将来の共変量を受け入れる場合、tT より大きくなる場合があることに注意が必要です。

  • きめ細かな説明は計算集約的である一方、入力変数のすべての貢献度の完全な詳細を提供します

    注記

    きめ細かな説明がサポートするのは、時系列のみです。

    結果として得られる貢献度は、以下で構成される三重項です。

    • 入力時系列に関連するマトリクス Ax ∈ RT×KAtkx​ は、予測ステップ T+k に対する xt の貢献度

    • 共変量時系列に関連するテンソル AzRT+K×S×KAtskz​ は予測ステップ T+k に対するzts​ (つまり s 番目の共変量 TS) の貢献度

    • 静的共変量に関連するマトリクス Au ∈ RE×KAeku は、予測ステップ T+k に対する ue ​(e 番目の静的共変量) の貢献度

説明には粒度を問わず、すべてのデータが難読化された場合のモデルの「基本動作」を表すオフセットベクトル B ∈ RK も含まれています。