ストレージ効率の管理 - FSx for ONTAP

翻訳は機械翻訳により提供されています。提供された翻訳内容と英語版の間で齟齬、不一致または矛盾がある場合、英語版が優先します。

ストレージ効率の管理

FSx for ONTAP ボリュームでストレージ効率を有効にすることで、ストレージ使用率を最適化し、ストレージコストを削減し、ファイルシステム全体のパフォーマンスを向上させることができます。

注記

Amazon FSx コンソール、API、または を使用してストレージ効率を有効に AWS CLI し、最適なストレージ効率設定がボリュームに適用されるようにすることをお勧めします。

ONTAPは、ファイルを 4 キビバイト (KiB) のデータブロックに編成します。ストレージの効率は、個々のファイルのレベルではなく、データブロックレベルで行われます。ストレージ効率を有効にすると、ONTAP はデータ削減手法を組み合わせて、重複するデータを排除し、データのサイズを圧縮し、最適なディスク使用量のためにデータのレイアウトを再編成します。

ストレージ効率は 2 つの方法で適用されます。これらは、データをインライン (ディスクに書き込む前、メモリ内) に適用され、ストレージの節約を即座に実現します。また、定期的な効率ジョブを通じて SSD ストレージ層のバックグラウンド (データがディスクに書き込まれた後) のデータに適用され、時間の経過とともにストレージ使用率を最適化します。バックグラウンドストレージの効率は、容量プールに階層化されたデータでは実行されません。ただし、データが SSD に格納されている間にストレージの節約があった場合、これらの節約は、データが容量プールに階層化されると保持されます。

注記

ONTAP は、データ保護 (DP) ボリュームでのストレージ効率の有効化をサポートしていません。ただし、ソースの読み取り/書き込み可能 (RW) ボリュームで達成されたストレージの節約は、データが宛先 DP ボリュームにレプリケートされるときに保持されます。

データブロックの圧縮

圧縮グループは、1 つのブロックとして管理および圧縮されるデータの論理グループです。ONTAP はデータブロックを自動的に圧縮グループにパックするため、ディスクで消費されるスペースが削減されます。パフォーマンスとストレージの使用率を最適化するために、ONTAP は、アクセスパターンに基づいてデータに適用される圧縮の程度を調整して、データを管理するためのバランスの取れたアプローチを提供します。

デフォルトでは、データをボリュームに書き込むときに最適なパフォーマンスを確保するために、データは 8 KB の圧縮グループを使用してインラインで圧縮されます。必要に応じて、ボリュームで非アクティブなデータ圧縮を有効にして SSD 内のデータをさらに圧縮することで、データにより大きな圧縮を適用できます。非アクティブなデータ圧縮では、コールドデータに 32 KB の圧縮グループを使用して、ストレージのさらなる節約を実現します。詳細については、NetApp ONTAP Documentation Center の volume efficiency inactive-data-compression modify コマンドを参照してください

注記

非アクティブなデータ圧縮は、追加の CPU とディスク IOPS を消費し、リソース集約型のタスクになる可能性があります。この機能を有効にする前に、ワークロードに対して非アクティブなデータ圧縮を実行することによるパフォーマンスへの影響を評価することをお勧めします。

次の図は、データブロックを圧縮することで実現できるストレージの節約を示しています。

圧縮グループでデータブロックを圧縮することで実現できるストレージの節約を示します。

データブロックの重複排除

ONTAP は、重複するデータブロックを検出して排除し、データの冗長性を軽減します。重複ブロックは、共有一意のブロックへの参照に置き換えられます。

デフォルトでは、データがディスクに書き込まれる前にストレージフットプリントを減らすために、データはインラインで重複排除されます。ONTAP は、指定された間隔でバックグラウンド重複排除スキャナーも実行し、ディスクに書き込まれた後に重複データを識別して排除します。これらのスケジュールされたスキャン中、ONTAP は変更ログを処理し、最後のスキャン以降にまだ重複排除されていない新規または変更されたデータブロックを特定します。重複が見つかった場合、ONTAP はメタデータを更新して重複ブロックの 1 つのコピーを指し、冗長ブロックを再利用する準備ができた空き領域としてマークします。

注記

ONTAP は、一度に 4 KB の受信書き込みに重複排除を適用するため、4 KB 未満の書き込みでワークロードを実行すると重複排除の節約額が減る場合があります。

FSx for ONTAP は、クロスボリューム重複排除をサポートしていません。

次の図は、重複排除で実現できるストレージの節約を示しています。

重複排除で実現できるストレージの節約を示します。

データブロックのコンパクト化

ONTAP は、それぞれ 4 KB 未満の部分的に埋められたデータブロックを、より効率的に使用される 4 KB ブロックに統合します。

デフォルトでは、データはインラインにコンパクト化され、ディスクに書き込まれるデータのレイアウトを最適化して、ストレージのオーバーヘッドを最小限に抑え、断片化を減らし、読み取りパフォーマンスを向上させます。

次の図は、コンパクト化で実現できるストレージの節約を示しています。

コンパクト化で実現できるストレージの節約を示します。

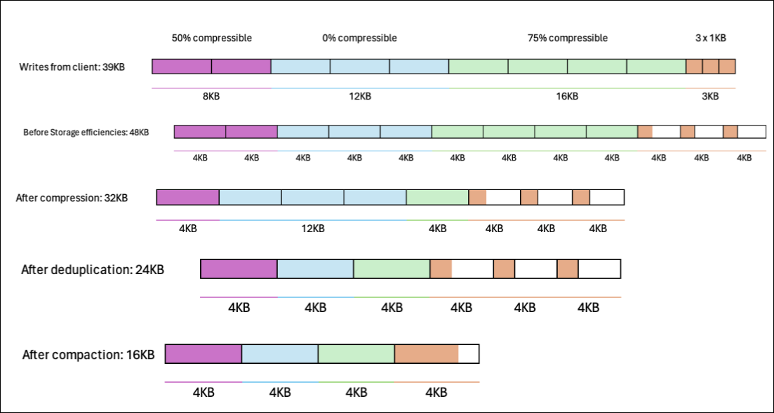
例: ストレージ効率

次の図は、ストレージ効率がデータにどのように適用されるかを示しています。

ストレージ効率をデータに適用する方法を示します。