Come funzionano le macchine di fattorizzazione - Amazon SageMaker AI

Le traduzioni sono generate tramite traduzione automatica. In caso di conflitto tra il contenuto di una traduzione e la versione originale in Inglese, quest'ultima prevarrà.

Come funzionano le macchine di fattorizzazione

L'attività di predizione per un modello di macchina di fattorizzazione è stimare una funzione ŷ da un set di funzionalità xi per un dominio di destinazione. Questo dominio è un valore reale per la regressione e il binario per la classificazione. Il modello di macchina di fattorizzazione è supervisionato e quindi ha un set di dati di addestramento (xi,yj) disponibile. I vantaggi che questo modello presenta risiedono nel modo in cui utilizza una parametrizzazione fattorizzata per acquisire le interazioni tra caratteristiche a livello di coppie. Può essere rappresentato matematicamente come segue:

Un'immagine contenente l'equazione del modello di macchine di fattorizzazione.

Le tre termini di questa equazione corrispondono rispettivamente ai tre componenti del modello:

  • Il termine w0 rappresenta il bias globale.

  • I termini lineari wi modellano la forza della variabile ith.

  • I termini di fattorizzazione <vi,vj> modellano l'interazione a livello di coppie tra la variabile ith e jth.

I termini bias globale e lineari sono gli stessi di un modello lineare. Le interazioni tra caratteristiche a livello di coppie sono modellate nel terzo termine come prodotto interno dei fattori corrispondenti appresi per ogni caratteristica. I fattori appresi possono anche essere considerati come vettori integrati di ogni caratteristica. Ad esempio, in un'attività di classificazione, se una coppia di caratteristiche tende a presentarsi contemporaneamente più spesso negli esempi etichettati positivi, quindi il prodotto interno dei loro fattori sarebbe elevato. In altre parole, i relativi vettori integranti sarebbero vicini tra loro in una similitudine di coseno. Per ulteriori informazioni sul modello di macchine di fattorizzazione, consulta Macchine di fattorizzazione.

Per le attività di regressione, il modello è preparato riducendo al minimo l'errore quadratico tra la previsione del modello ŷn e il valore target yn. Questa prassi è nota come perdita al quadrato:

Un'immagine contenente l'equazione per la perdita al quadrato.

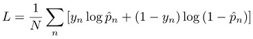
Per un'attività di classificazione, il modello è addestrato riducendo al minimo la perdita di entropia incrociata, nota anche come perdita di log:

Un'immagine contenente l'equazione per la perdita di log.

dove:

Un'immagine contenente la funzione logistica dei valori previsti.

Per ulteriori informazioni sulle funzioni di perdita per la classificazione, consulta l'argomento relativo alle funzioni di perdita per la classificazione.