Le traduzioni sono generate tramite traduzione automatica. In caso di conflitto tra il contenuto di una traduzione e la versione originale in Inglese, quest'ultima prevarrà.
Fase 1: Identifica i casi d'uso e il modello logico di dati
Un'azienda automobilistica desidera creare un sistema di gestione transazionale dei componenti per archiviare e cercare tutti i ricambi auto disponibili e creare relazioni tra diversi componenti e parti. Ad esempio, un'automobile contiene più batterie, ogni batteria contiene più moduli di alto livello, ogni modulo contiene più celle e ogni cella contiene più componenti di basso livello.
In genere, per la creazione di un modello di relazione gerarchico, la scelta migliore è quella di utilizzare un database a grafo come Amazon Neptune. In alcuni casi, tuttavia, Amazon DynamoDB è un'alternativa migliore per la modellazione gerarchica dei dati grazie alla sua flessibilità, sicurezza, prestazioni e scalabilità.
Ad esempio, potresti creare un sistema in cui l'80-90% delle query siano transazionali, in cui DynamoDB si adatta bene. In questo esempio, l'altro 10-20 percento delle query sono relazionali, dove un database grafico come Neptune si adatta meglio. In questo caso, l'inclusione di un database aggiuntivo nell'architettura per soddisfare solo il 10-20 percento delle query potrebbe aumentare i costi. Inoltre, aumenta l'onere operativo legato alla manutenzione di più sistemi e alla sincronizzazione dei dati. È invece possibile modellare le query relazionali del 10-20% in DynamoDB.
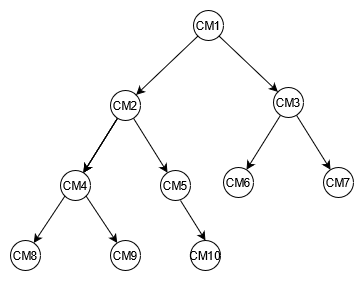
La creazione di un diagramma di un albero di esempio per i componenti dell'automobile può aiutarti a mappare la relazione tra di essi. Il diagramma seguente mostra un grafico delle dipendenze con quattro livelli. CM1 è il componente di primo livello per l'auto di esempio stessa. Ha due sottocomponenti per due batterie, ad esempio, CM2 e. CM3 Ogni batteria ha due sottocomponenti, che sono i moduli. CM2 ha moduli CM4 e CM5, e CM3 ha moduli CM6 e CM7. Ogni modulo ha diversi sottocomponenti, che sono le celle. Il CM4 modulo ha due celle CM8 e CM9. CM5 ha una cella, CM10. CM6 e CM7 non ha ancora alcuna cella associata.
Questa guida utilizzerà questo albero e gli identificatori dei suoi componenti come riferimento. Un componente principale verrà denominato padre e un sottocomponente verrà denominato figlio. Ad esempio, il componente principale CM1 è il genitore di CM2 and CM3. CM2 è il genitore di CM4 e CM5. Questo grafico rappresenta le relazioni padre-figlio.
Dall'albero, puoi vedere il grafico completo delle dipendenze di un componente. Ad esempio, CM8 dipende da CM4, che dipende da CM2, che dipende da CM1. L'albero definisce il grafico completo delle dipendenze come percorso. Un percorso descrive due cose:
-
Il grafico delle dipendenze
-
La posizione nell'albero
Compilazione dei modelli per i requisiti aziendali:
Fornisci informazioni sui tuoi utenti:
Utente |
Descrizione |
Dipendente |
Dipendente interno dell'azienda automobilistica che necessita di informazioni sulle auto e sui relativi componenti |
Fornisci informazioni sulle fonti dei dati e su come i dati verranno acquisiti:
Origine |
Descrizione |
Utente |
Sistema di gestione |
Sistema che memorizzerà tutti i dati relativi ai ricambi auto disponibili e alle loro relazioni con altri componenti e parti. |
Dipendente |
Fornisci informazioni su come verranno consumati i dati:
Consumatore |
Descrizione |
Utente |
Sistema di gestione |
Recupera tutti i componenti secondari immediati per un ID del componente principale. |
Dipendente |
Sistema di gestione |
Recupera un elenco ricorsivo di tutti i componenti secondari per l'ID di un componente. |
Dipendente |
Sistema di gestione |
Visualizza gli antenati di un componente. |
Dipendente |