View a markdown version of this page

Ketersediaan dengan redundansi - Ketersediaan dan Selanjutnya: Memahami dan Meningkatkan Ketahanan Sistem Terdistribusi AWS

Terjemahan disediakan oleh mesin penerjemah. Jika konten terjemahan yang diberikan bertentangan dengan versi bahasa Inggris aslinya, utamakan versi bahasa Inggris.

Ketersediaan dengan redundansi

Ketika beban kerja menggunakan beberapa subsistem, independen, dan redundan, ia dapat mencapai tingkat ketersediaan teoritis yang lebih tinggi daripada dengan menggunakan subsistem tunggal. Misalnya, pertimbangkan beban kerja yang terdiri dari dua subsistem yang identik. Ini dapat sepenuhnya operasional jika subsistem satu atau subsistem dua beroperasi. Agar seluruh sistem turun, kedua subsistem harus turun pada saat yang bersamaan.

Jika probabilitas kegagalan satu subsistem adalah 1 α, maka probabilitas bahwa dua subsistem redundan turun pada saat yang sama adalah produk dari probabilitas kegagalan masing-masing subsistem, F = (1− α1) × (1− α). 2 Untuk beban kerja dengan dua subsistem redundan, menggunakan Persamaan (3), ini memberikan ketersediaan yang didefinisikan sebagai:

Gambar tiga persamaan

Persamaan 5

Jadi, untuk dua subsistem yang ketersediaannya 99%, probabilitas bahwa satu gagal adalah 1% dan probabilitas bahwa keduanya gagal adalah (1− 99%) × (1− 99%) = 0,01%. Ini membuat ketersediaan menggunakan dua subsistem redundan 99,99%.

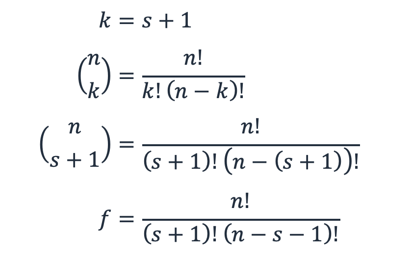
Ini dapat digeneralisasi untuk memasukkan suku cadang tambahan yang berlebihan, s, juga. Dalam Persamaan (5) kami hanya mengasumsikan satu cadangan, tetapi beban kerja mungkin memiliki dua, tiga, atau lebih suku cadang sehingga dapat bertahan dari hilangnya beberapa subsistem secara simultan tanpa memengaruhi ketersediaan. Jika beban kerja memiliki tiga subsistem dan dua adalah suku cadang, probabilitas bahwa ketiga subsistem gagal pada saat yang sama adalah (1− α) × (1− α) × (1− α) atau (1− α) 3. Secara umum, beban kerja dengan suku cadang s hanya akan gagal jika subsistem s + 1 gagal.

Untuk beban kerja dengan n subsistem dan suku cadang s, f adalah jumlah mode kegagalan atau cara subsistem s + 1 gagal dari n.

Ini secara efektif adalah teorema binomial, matematika kombinatorial memilih k elemen dari himpunan n, atau n pilih k”. Dalam hal ini, k adalah s + 1.

Gambar empat persamaan

Persamaan 6

Kami kemudian dapat menghasilkan perkiraan ketersediaan umum yang menggabungkan jumlah mode kegagalan dan hemat. (Untuk memahami mengapa ini dalam perkiraan, lihat Lampiran 2 dari Highleyman, dkk. Melanggar Penghalang Ketersediaan.)

Gambar empat persamaan

Persamaan 7

Hemat dapat diterapkan pada ketergantungan apa pun yang menyediakan sumber daya yang gagal secara independen. Instans Amazon EC2 di AZ yang berbeda atau bucket Amazon S3 berbeda adalah contohnya. Wilayah AWS Menggunakan suku cadang membantu ketergantungan mencapai ketersediaan total yang lebih tinggi untuk mendukung tujuan ketersediaan beban kerja.

Aturan 5

Gunakan hemat untuk meningkatkan ketersediaan dependensi dalam beban kerja.

Namun, hemat datang dengan biaya. Setiap biaya cadangan tambahan sama dengan modul asli, biaya mengemudi setidaknya secara linier. Membangun beban kerja yang dapat menggunakan suku cadang juga meningkatkan kompleksitasnya. Itu harus tahu bagaimana mengidentifikasi kegagalan ketergantungan, pekerjaan berat dari itu ke sumber daya yang sehat, dan mengelola kapasitas keseluruhan beban kerja.

Redundansi adalah masalah optimasi. Terlalu sedikit suku cadang, dan beban kerja bisa gagal lebih sering dari yang diinginkan, terlalu banyak suku cadang dan biaya beban kerja terlalu banyak untuk dijalankan. Ada ambang batas di mana menambahkan lebih banyak suku cadang akan lebih mahal daripada ketersediaan tambahan yang mereka capai waran.

Menggunakan ketersediaan umum kami dengan rumus suku cadang, Persamaan (7), untuk subsistem yang memiliki ketersediaan 99,5%, dengan dua suku cadang ketersediaan beban kerja adalah A ≈ 1 − (1) (1) (1−.995) 3 = 99,9999875% (sekitar 3,94 detik waktu henti setahun), dan dengan 10 suku cadang kita mendapatkan A ≈ 1 − (1) (1−.995) 11 = 25.995 5 9 ′ s (perkiraan waktu henti adalah 1,26252 × 10 15 m s per tahun, efektif 0). Dalam membandingkan dua beban kerja ini, kami telah mengalami peningkatan 5X dalam biaya hemat untuk mencapai waktu henti empat detik lebih sedikit dalam setahun. Untuk sebagian besar beban kerja, kenaikan biaya tidak beralasan untuk peningkatan ketersediaan ini. Gambar berikut menunjukkan hubungan ini.

Diagram yang menunjukkan hasil yang semakin berkurang dari peningkatan hemat

Mengurangi pengembalian dari peningkatan hemat

Pada tiga suku cadang dan seterusnya, hasilnya adalah sepersekian detik dari waktu henti yang diharapkan dalam setahun, yang berarti bahwa setelah titik ini Anda mencapai area pengembalian yang semakin berkurang. Mungkin ada dorongan untuk “hanya menambahkan lebih banyak” untuk mencapai tingkat ketersediaan yang lebih tinggi, tetapi pada kenyataannya, manfaat biaya menghilang dengan sangat cepat. Menggunakan lebih dari tiga suku cadang tidak memberikan material, keuntungan nyata untuk hampir semua beban kerja ketika subsistem itu sendiri memiliki setidaknya ketersediaan 99%.

Aturan 6

Ada batas atas efisiensi biaya hemat. Memanfaatkan suku cadang paling sedikit yang diperlukan untuk mencapai ketersediaan yang dibutuhkan.

Anda harus mempertimbangkan unit kegagalan saat memilih jumlah suku cadang yang benar. Sebagai contoh, mari kita periksa beban kerja yang memerlukan 10 instans EC2 untuk menangani kapasitas puncak dan mereka digunakan dalam satu AZ.

Karena AZ dirancang untuk menjadi batas isolasi kesalahan, unit kegagalan bukan hanya satu instans EC2, karena seluruh instans EC2 senilai AZ dapat gagal bersama. Dalam hal ini, Anda ingin menambahkan redundansi dengan AZ lain, menerapkan 10 instans EC2 tambahan untuk menangani beban jika terjadi kegagalan AZ, dengan total 20 instans EC2 (mengikuti pola stabilitas statis).

Meskipun ini tampaknya 10 instans EC2 cadangan, ini benar-benar hanya satu AZ cadangan, jadi kami belum melampaui titik pengembalian yang berkurang. Namun, Anda dapat menjadi lebih hemat biaya sekaligus meningkatkan ketersediaan Anda dengan memanfaatkan tiga AZ dan menerapkan lima instans EC2 per AZ.

Ini menyediakan satu AZ cadangan dengan total 15 instans EC2 (dibandingkan dua AZ dengan 20 instans), masih menyediakan 10 instans total yang diperlukan untuk melayani kapasitas puncak selama peristiwa yang memengaruhi satu AZ. Dengan demikian, Anda harus membangun hemat agar toleran terhadap kesalahan di semua batas isolasi kesalahan yang digunakan oleh beban kerja (instance, sel, AZ, dan Wilayah).