Bagaimana Mesin Faktorisasi Bekerja - Amazon SageMaker AI

Terjemahan disediakan oleh mesin penerjemah. Jika konten terjemahan yang diberikan bertentangan dengan versi bahasa Inggris aslinya, utamakan versi bahasa Inggris.

Bagaimana Mesin Faktorisasi Bekerja

Tugas prediksi untuk model Mesin Faktorisasi adalah memperkirakan fungsi dari set fitur x i ke domain target. Domain ini bernilai nyata untuk regresi dan biner untuk klasifikasi. Model Mesin Faktorisasi diawasi dan memiliki dataset pelatihan (xi, y) yang tersedia. j Keuntungan yang disajikan model ini terletak pada cara menggunakan parametriisasi yang difaktorisasi untuk menangkap interaksi fitur berpasangan. Ini dapat direpresentasikan secara matematis sebagai berikut:

Gambar yang berisi persamaan untuk model Mesin Faktorisasi.

Tiga istilah dalam persamaan ini masing-masing sesuai dengan tiga komponen model:

  • 0Istilah w mewakili bias global.

  • Istilah i linier w memodelkan kekuatan variabel i th.

  • Istilah faktorisasi <vi, v j > memodelkan interaksi berpasangan antara variabel i th dan j th.

Bias global dan istilah linier sama dengan model linier. Interaksi fitur berpasangan dimodelkan dalam suku ketiga sebagai produk dalam dari faktor-faktor terkait yang dipelajari untuk setiap fitur. Faktor yang dipelajari juga dapat dianggap sebagai vektor penyematan untuk setiap fitur. Misalnya, dalam tugas klasifikasi, jika sepasang fitur cenderung lebih sering terjadi bersamaan dalam sampel berlabel positif, maka produk bagian dalam dari faktor-faktor mereka akan besar. Dengan kata lain, vektor penyematan mereka akan dekat satu sama lain dalam kesamaan kosinus. Untuk informasi lebih lanjut tentang model Mesin Faktorisasi, lihat Mesin Faktorisasi.

Untuk tugas regresi, model dilatih dengan meminimalkan kesalahan kuadrat antara prediksi model n dan nilai target y. n Ini dikenal sebagai kerugian kuadrat:

Gambar yang berisi persamaan untuk kerugian kuadrat.

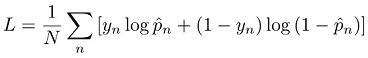
Untuk tugas klasifikasi, model dilatih dengan meminimalkan kehilangan entropi silang, juga dikenal sebagai kehilangan log:

Gambar yang berisi persamaan kehilangan log.

di mana:

Gambar yang berisi fungsi logistik dari nilai yang diprediksi.

Untuk informasi selengkapnya tentang fungsi kerugian untuk klasifikasi, lihat Fungsi kerugian untuk klasifikasi.