Nilai Shapley Asimetris - Amazon SageMaker AI

Terjemahan disediakan oleh mesin penerjemah. Jika konten terjemahan yang diberikan bertentangan dengan versi bahasa Inggris aslinya, utamakan versi bahasa Inggris.

Nilai Shapley Asimetris

Solusi penjelasan model peramalan deret waktu SageMaker Clarify adalah metode atribusi fitur yang berakar pada teori permainan kooperatif, serupa dengan semangat SHAP. Secara khusus, Clarify menggunakan nilai kelompok urutan acak, juga dikenal sebagai nilai Shapley asimetris dalam pembelajaran mesin dan penjelasan.

Latar Belakang

Tujuannya adalah untuk menghitung atribusi untuk fitur input ke model peramalan tertentu f. Model peramalan mengambil masukan berikut:

  • Deret waktu lalu (target TS). Misalnya, ini bisa melewati penumpang kereta harian di rute Paris-Berlin, dilambangkan dengan x. t

  • (Opsional) Deret waktu kovariat. Misalnya, ini bisa berupa perayaan dan data cuaca, dilambangkan dengan z t R S. Saat digunakan, TS kovariat hanya tersedia untuk langkah-langkah masa lalu atau juga untuk masa depan (termasuk dalam kalender perayaan).

  • (Opsional) Kovariat statis, seperti kualitas layanan (seperti kelas 1 atau 2), dilambangkan dengan u R E.

Kovariat statis, kovariat dinamis, atau keduanya dapat dihilangkan, tergantung pada skenario aplikasi spesifik. Diberikan prediksi horizon K ≥ 0 (misalnya K = 30 hari) prediksi model dapat dicirikan dengan rumus: f (x[1:T], z[1:T+K], u) = x. [T+1:T +K+1]

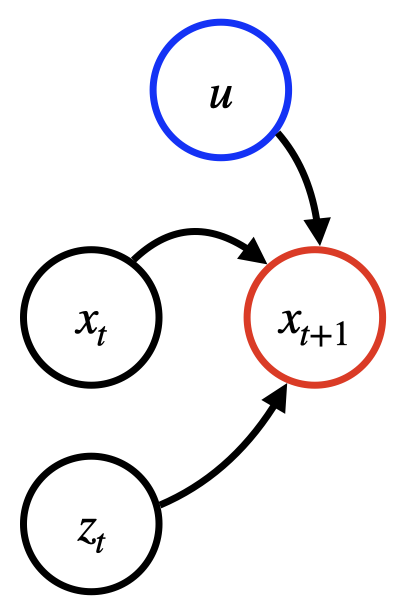
Diagram berikut menunjukkan struktur ketergantungan untuk model peramalan tipikal. Prediksi pada waktu t+1 tergantung pada tiga jenis input yang disebutkan sebelumnya.

Struktur ketergantungan untuk model peramalan tipikal.

Metode

Penjelasan dihitung dengan menanyakan model deret waktu f pada serangkaian titik yang diturunkan oleh input asli. Mengikuti konstruksi teoritis permainan, Klarifikasi rata-rata perbedaan dalam prediksi yang dipimpin oleh mengaburkan (yaitu, pengaturan ke nilai dasar) bagian dari input secara iteratif. Struktur temporal dapat dinavigasi dalam urutan kronologis atau anti-kronologis atau keduanya. Penjelasan kronologis dibangun dengan menambahkan informasi secara berulang dari langkah pertama kali, sementara anti-kronologis dari langkah terakhir. Mode terakhir mungkin lebih tepat dengan adanya bias kebaruan, seperti saat memperkirakan harga saham. Salah satu properti penting dari penjelasan yang dihitung adalah bahwa mereka menjumlahkan output model asli jika model memberikan output deterministik.

Atribusi yang dihasilkan

Atribusi yang dihasilkan adalah skor yang menandai kontribusi individu dari langkah waktu tertentu atau fitur masukan menuju perkiraan akhir pada setiap langkah waktu yang diperkirakan. Clarify menawarkan dua perincian berikut untuk penjelasan:

  • Penjelasan waktu tidak mahal dan memberikan informasi tentang langkah-langkah waktu tertentu saja, seperti seberapa banyak informasi hari ke-19 di masa lalu berkontribusi pada peramalan hari pertama di masa depan. Atribusi ini tidak menjelaskan kovariat statis individual dan penjelasan agregat dari deret waktu target dan kovariat. Atribusi adalah matriks A di mana masing-masing A tk adalah atribusi langkah waktu t menuju peramalan langkah waktu T+k. Perhatikan bahwa jika model menerima kovariat future, t bisa lebih besar dari T.

  • Penjelasan berbutir halus lebih intensif secara komputasi dan memberikan rincian lengkap dari semua atribusi variabel input.

    catatan

    Penjelasan berbutir halus hanya mendukung urutan kronologis.

    Atribusi yang dihasilkan adalah triplet yang terdiri dari yang berikut:

    • Matriks A x ∈ R T×K terkait dengan deret waktu masukan, di mana A tk x adalah atribusi x t terhadap langkah peramalan T+k

    • Tensor A zR T+K×S×K terkait dengan deret waktu kovariat, di mana A tsk z adalah atribusi z ts​ (yaitu sth kovariat TS) terhadap langkah peramalan T+k

    • Matriks A u ∈ R E×K terkait dengan kovariat statis, di mana A ek u adalah atribusi u e (kovariat statis eth) terhadap langkah peramalan T+k

Terlepas dari granularitasnya, penjelasannya juga berisi vektor offset B ∈ R K yang mewakili “perilaku dasar” model ketika semua data dikaburkan.