Langkah 1: Identifikasi kasus penggunaan dan model data logis - AWS Bimbingan Preskriptif

Terjemahan disediakan oleh mesin penerjemah. Jika konten terjemahan yang diberikan bertentangan dengan versi bahasa Inggris aslinya, utamakan versi bahasa Inggris.

Langkah 1: Identifikasi kasus penggunaan dan model data logis

Sebuah perusahaan otomotif ingin membangun sistem manajemen komponen transaksional untuk menyimpan dan mencari semua suku cadang mobil yang tersedia dan untuk membangun hubungan antara komponen dan suku cadang yang berbeda. Misalnya, mobil berisi banyak baterai, setiap baterai berisi beberapa modul tingkat tinggi, setiap modul berisi banyak sel, dan setiap sel berisi beberapa komponen tingkat rendah.

Umumnya, untuk membangun model hubungan hierarkis, database grafik seperti Amazon Neptunus adalah pilihan yang lebih baik. Namun, dalam beberapa kasus, Amazon DynamoDB adalah alternatif yang lebih baik untuk pemodelan data hierarkis karena fleksibilitas, keamanan, kinerja, dan skalanya.

Misalnya, Anda mungkin membangun sistem di mana 80-90 persen kueri bersifat transaksional, di mana DynamoDB cocok. Dalam contoh ini, 10-20 persen kueri lainnya bersifat relasional, di mana database grafik seperti Neptunus lebih cocok. Dalam hal ini, termasuk database tambahan dalam arsitektur untuk memenuhi hanya 10-20 persen dari kueri dapat meningkatkan biaya. Ini juga menambah beban operasional pemeliharaan beberapa sistem dan menyinkronkan data. Sebagai gantinya, Anda dapat memodelkan kueri relasional 10-20 persen di DynamoDB.

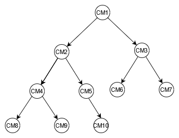
Membuat diagram pohon contoh untuk komponen mobil dapat membantu Anda memetakan hubungan di antara mereka. Diagram berikut menunjukkan grafik ketergantungan dengan empat level. CM1 adalah komponen tingkat atas untuk contoh mobil itu sendiri. Ini memiliki dua subkomponen untuk dua contoh baterai, CM2 dan CM3. Setiap baterai memiliki dua subkomponen, yaitu modul. CM2 memiliki modul CM4 dan CM5, dan CM3 memiliki modul CM6 dan CM7. Setiap modul memiliki beberapa subkomponen, yang merupakan sel. CM4 Modul ini memiliki dua sel, CM8 dan CM9. CM5 memiliki satu sel CM10. CM6 dan CM7 belum memiliki sel terkait.

Contoh diagram pohon yang menunjukkan hubungan yang dijelaskan sebelumnya.

Panduan ini akan menggunakan pohon ini dan pengidentifikasi komponennya sebagai referensi. Komponen teratas akan disebut sebagai induk, dan subkomponen akan disebut sebagai anak. Misalnya, komponen atas CM1 adalah induk dari CM2 dan CM3. CM2 adalah orang tua dari CM4 dan CM5. Ini menggambarkan hubungan orangtua-anak.

Dari pohon, Anda dapat melihat grafik ketergantungan lengkap komponen. Misalnya, CM8 tergantung pada CM4, yang tergantung pada CM2, yang bergantung pada CM1. Pohon mendefinisikan grafik ketergantungan lengkap sebagai jalur. Sebuah jalan menggambarkan dua hal:

  • Grafik ketergantungan

  • Posisi di pohon

Mengisi template untuk persyaratan bisnis:

Berikan informasi tentang pengguna Anda:

Pengguna

Deskripsi

Karyawan

Karyawan internal perusahaan otomotif yang membutuhkan informasi mobil dan komponennya

Berikan informasi tentang sumber data dan bagaimana data akan dicerna:

Sumber

Deskripsi

Pengguna

Sistem manajemen

Sistem yang akan menyimpan semua data yang terkait dengan suku cadang mobil yang tersedia dan hubungannya dengan komponen dan suku cadang lainnya.

Karyawan

Berikan informasi tentang bagaimana data akan dikonsumsi:

Konsumen

Deskripsi

Pengguna

Sistem manajemen

Ambil semua komponen turunan langsung untuk ID komponen induk.

Karyawan

Sistem manajemen

Ambil daftar rekursif semua komponen anak untuk ID komponen.

Karyawan

Sistem manajemen

Lihat nenek moyang suatu komponen.

Karyawan