View a markdown version of this page

Mengelola efisiensi penyimpanan - FSx untuk ONTAP

Terjemahan disediakan oleh mesin penerjemah. Jika konten terjemahan yang diberikan bertentangan dengan versi bahasa Inggris aslinya, utamakan versi bahasa Inggris.

Mengelola efisiensi penyimpanan

Dengan mengaktifkan efisiensi penyimpanan pada volume ONTAP Anda FSx , Anda dapat mengoptimalkan pemanfaatan penyimpanan, mengurangi biaya penyimpanan, dan meningkatkan kinerja sistem file Anda secara keseluruhan.

catatan

Sebaiknya aktifkan efisiensi penyimpanan menggunakan FSx konsol Amazon, API, atau AWS CLI untuk memastikan bahwa pengaturan efisiensi penyimpanan optimal diterapkan pada volume Anda.

ONTAPmengatur file menjadi 4 kibibyte (KiB) blok data. Efisiensi penyimpanan terjadi pada tingkat blok data daripada pada tingkat file individual. Ketika efisiensi penyimpanan diaktifkan, ONTAP menggunakan kombinasi teknik reduksi data untuk menghilangkan data duplikat, memampatkan ukuran data, dan mengatur ulang tata letak data untuk penggunaan disk yang optimal.

Efisiensi penyimpanan diterapkan dalam dua cara. Mereka diterapkan ke data inline (sebelum data ditulis ke disk, dalam memori) untuk memberikan penghematan penyimpanan langsung. Mereka juga diterapkan pada data di latar belakang (setelah data ditulis ke disk) di tingkat penyimpanan SSD melalui pekerjaan efisiensi berkala untuk mengoptimalkan pemanfaatan penyimpanan dari waktu ke waktu. Efisiensi penyimpanan latar belakang tidak berjalan pada data setelah berjenjang ke kumpulan kapasitas. Namun, jika data memiliki penghematan penyimpanan saat berada di SSD, penghematan ini dipertahankan ketika data berjenjang ke kumpulan kapasitas.

catatan

ONTAPtidak mendukung mengaktifkan efisiensi penyimpanan pada volume perlindungan data (DP). Namun, penghematan penyimpanan yang dicapai dalam volume sumber read-writable (RW) dipertahankan ketika data direplikasi ke volume DP tujuan.

Kompresi blok data

Grup kompresi adalah pengelompokan logis data yang dikelola dan dikompresi bersama sebagai satu blok. ONTAPsecara otomatis mengemas blok data ke dalam kelompok kompresi, yang mengurangi ruang yang dikonsumsi pada disk. Untuk mengoptimalkan kinerja dan pemanfaatan penyimpanan, ONTAP berikan pendekatan yang seimbang untuk mengelola data dengan menyesuaikan tingkat kompresi yang diterapkan pada data berdasarkan pola aksesnya.

Secara default, data dikompresi sebaris menggunakan grup kompresi 8 KB untuk memastikan kinerja optimal saat menulis data ke volume. Secara opsional, Anda dapat menerapkan kompresi yang lebih berat ke data dengan mengaktifkan kompresi data tidak aktif pada volume untuk lebih memampatkan data dalam SSD. Kompresi data tidak aktif menggunakan grup kompresi 32 KB pada data dingin untuk penghematan penyimpanan tambahan. Untuk informasi lebih lanjut, lihat volume efficiency inactive-data-compression modifyperintah diNetApp ONTAP Documentation Center.

catatan

Kompresi data tidak aktif mengkonsumsi CPU dan disk IOPS tambahan dan dapat menjadi tugas intensif sumber daya. Kami menyarankan Anda mengevaluasi dampak kinerja menjalankan kompresi data tidak aktif pada beban kerja Anda sebelum mengaktifkan fitur ini.

Gambar berikut menggambarkan penghematan penyimpanan yang dapat dicapai dengan mengompresi blok data.

Mengilustrasikan penghematan penyimpanan yang dapat dicapai dengan mengompresi blok data dengan grup kompresi.

Deduplikasi blok data

ONTAPmendeteksi dan menghilangkan blok data duplikat untuk mengurangi redundansi dalam data. Blok duplikat diganti dengan referensi ke blok unik bersama.

Secara default, data dideduplikasi sebaris untuk mengurangi jejak penyimpanan sebelum data ditulis ke disk. ONTAPjuga menjalankan pemindai deduplikasi latar belakang pada interval tertentu untuk mengidentifikasi dan menghilangkan data duplikat setelah ditulis ke disk. Selama pemindaian terjadwal ini, ONTAP proses log perubahan untuk mengidentifikasi blok data baru atau yang dimodifikasi sejak pemindaian terakhir yang belum di-deduplikasi. Ketika duplikat ditemukan, ONTAP perbarui metadata untuk menunjuk ke satu salinan blok duplikat dan tandai blok redundan sebagai ruang kosong yang siap untuk direklamasi.

catatan

ONTAPmenerapkan deduplikasi ke 4 KB penulisan masuk sekaligus, jadi Anda mungkin melihat penghematan deduplikasi yang lebih rendah saat menjalankan beban kerja dengan penulisan yang berukuran lebih kecil dari 4 KB.

FSx untuk ONTAP tidak mendukung deduplikasi lintas volume.

Gambar berikut menggambarkan penghematan penyimpanan yang dapat dicapai dengan deduplikasi.

Mengilustrasikan penghematan penyimpanan yang dapat dicapai dengan deduplikasi.

Pemadatan blok data

ONTAPmengkonsolidasikan blok data yang terisi sebagian yang masing-masing kurang dari 4 KB menjadi blok 4 KB yang lebih efisien digunakan.

Secara default, data dipadatkan sebaris untuk mengoptimalkan tata letak data seperti yang ditulis ke disk untuk meminimalkan overhead penyimpanan, mengurangi fragmentasi, dan meningkatkan kinerja baca.

Gambar berikut menggambarkan penghematan penyimpanan yang dapat dicapai dengan pemadatan.

Mengilustrasikan penghematan penyimpanan yang dapat dicapai dengan pemadatan.

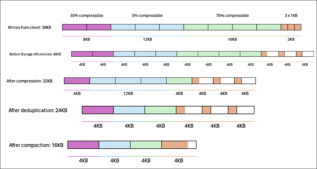
Contoh: efisiensi penyimpanan

Gambar berikut menggambarkan bagaimana efisiensi penyimpanan diterapkan pada data.

Mengilustrasikan bagaimana efisiensi penyimpanan diterapkan pada data.