Identifikasi konferensi dan transfer dengan menggunakan catatan kontak Amazon Connect - Amazon Connect

Terjemahan disediakan oleh mesin penerjemah. Jika konten terjemahan yang diberikan bertentangan dengan versi bahasa Inggris aslinya, utamakan versi bahasa Inggris.

Identifikasi konferensi dan transfer dengan menggunakan catatan kontak Amazon Connect

Catatan kontak menangkap peristiwa yang terkait dengan kontak di pusat kontak Anda. Untuk setiap kontak baru, Amazon Connect membuat catatan kontak dan menetapkan ID Kontak unik ke kontak.

Setiap kali agen berkonsultasi dengan agen lain (internal ke Amazon Connect atau eksternal, dengan menggunakan nomor panggilan masuk bebas pulsa atau langsung), Amazon Connect membuat catatan kontak kaki konsultasi dan mengeluarkan ID Kontak baru untuk leg ini.

Catatan kontak utama dan catatan kontak kaki konsultasi berikutnya dapat dihubungkan bersama oleh beberapa bidang ID Kontak, misalnya, ID Kontak Awal, ID Kontak Berikutnya, dan ID Kontak Sebelumnya.

Topik ini menjelaskan bagaimana Anda dapat menggunakan bidang ini untuk membedakan konferensi dan transfer dalam catatan kontak. Ini juga memberikan logika untuk menetapkan jenis operasi konsultatif: Konsultasikan panggilan, Konferensi, atau Transfer.

Terminologi

Terminologi berikut digunakan dalam topik ini:

Panggilan konsultatif

Panggilan yang melibatkan tiga peserta:

  1. Pemrakarsa, misalnya, pelanggan

  2. Penerima, misalnya, agen

  3. Peserta yang dikonsultasikan, misalnya, supervisor atau penerjemah pihak ketiga eksternal

Panggilan konsultatif dapat berakhir dengan panggilan konsultasi, panggilan transfer, atau panggilan konferensi.

Konsultasikan panggilan

Panggilan di mana agen penerima berkonsultasi dengan peserta lain (misalnya, agen dalam instans Amazon Connect yang sama atau entitas eksternal), sementara inisiator ditahan.

Setelah panggilan terputus, Amazon Connect menempatkan agen dalam status After Call Work (ACW). Catatan kontak diperbarui dengan stempel waktu saat status ini dimasukkan. Dalam hal panggilan konsultasi, peserta yang dikonsultasikan terputus lebih awal dari pelanggan.

Catatan kontak mencatat stempel waktu ketika agen ditempatkan dalam status ACW di bawah. AfterContactWorkStartTimestamp

Transfer panggilan

Penerima mentransfer inisiator ke peserta yang dikonsultasikan. Dalam hal ini, agen penerima memasuki ACW lebih awal dari agen yang dikonsultasikan.

Panggilan konferensi

Penerima konferensi inisiator kepada peserta yang dikonsultasikan (panggilan tiga arah).

Amazon Connect memungkinkan lebih dari tiga peserta untuk dikonferensikan bersama. Untuk panggilan internal, peserta yang dikonsultasikan memasuki ACW lebih awal dari penerima dalam situasi Konsultasi dan Konferensi. Perbedaannya, bagaimanapun, adalah bahwa dalam situasi konferensi, peserta yang dikonsultasikan juga dapat berbicara dengan pelanggan, sementara dalam kasus konsultasi, pelanggan ditahan oleh penerima.

Bagian berikut menjelaskan bagaimana Anda dapat mengidentifikasi masing-masing jenis panggilan ini dalam catatan kontak.

Catatan kontak untuk panggilan konsultatif

Katakanlah pelanggan menelepon Agen1. Agen tidak mentransfer atau berkonsultasi dengan orang lain. Saat panggilan terputus, catatan kontak terlihat seperti contoh berikut (hanya bidang yang relevan yang ditampilkan):

{ "AWSAccountId": "account-id", "Agent": { "ARN": "agent-arn", "AfterContactWorkStartTimestamp": "2024-08-02T17:50:53Z", . . "Username": "Agent1" }, "ContactId": "497f04ca-6de1-408f-9b8a-ec57bcc99b31", . . "InitialContactId": null, "NextContactId": null, "PreviousContactId": null, . . }

Jika Agen1 memulai panggilan konsultatif dengan agen lain (Agen2), itu adalah Konsultasi, Transfer, atau Konferensi.

Contoh catatan kontak berikut menunjukkan bagaimana ini akan mencari agen inisiator (Agen1) dan agen penerima (Agen2):

  • Agen inisiasi (Agen1)

    { "Agent": { "ARN": "agent-arn" "AfterContactWorkStartTimestamp": "2024-08-02T17:50:53Z", . . "Username": "Agent1" }, "ContactId": "497f04ca-6de1-408f-9b8a-ec57bcc99b31", "InitialContactId": null, "NextContactId": "6aa058d3-e771-4544-8e93-f5ce9c9003b3", . . }
  • Agen penerima (Agen2)

    { "Agent": { "ARN": "agent-arn", "AfterContactWorkStartTimestamp": "2024-08-02T17:51:07Z", . . "Username": "Agent2" }, "ContactId": "6aa058d3-e771-4544-8e93-f5ce9c9003b3", "InitialContactId": "497f04ca-6de1-408f-9b8a-ec57bcc99b31", "NextContactId": null, "PreviousContactId": "497f04ca-6de1-408f-9b8a-ec57bcc99b31", . . }

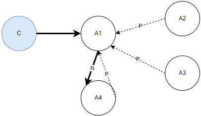
    Hubungan antara dua bagian catatan kontak ditunjukkan pada diagram berikut:

    Hubungan antara Agen 1 dan Agen 2 selama panggilan konsultatif.

    Dimana Agent1 (A1) dan Agen2 (A2) dihubungkan oleh:

    • N = ID Kontak Berikutnya. Bidang ini muncul di catatan kontak untuk leg awal. Ini adalah ID Kontak agen terakhir yang dikonsultasikan dengan agen ini (dalam hal ini, agen terakhir adalah A2).

    • P = ID Kontak Sebelumnya. Bidang ini muncul di catatan kontak untuk kaki konsultasi. Ini adalah ID Kontak kaki yang disebut kaki ini. Dalam hal ini, yaitu A1.

    Tidak ditampilkan dalam diagram adalah:

    • ID Kontak Awal: Ini adalah ID Kontak dari interaksi pertama antara Agen1 (A1) dan pelanggan (C).

    • Contact ID: Ini adalah pengenal unik dari interaksi yang diberikan.

    ID Kontak, ID Kontak Awal, dan ID Kontak Sebelumnya adalah atribut sistem. Untuk deskripsi masing-masing, lihatAtribut sistem.

Model ini dapat diperluas ke panggilan konsultasi yang melibatkan banyak agen. Berikut ini adalah contoh kasus penggunaan untuk bagaimana hal itu dapat diperpanjang.

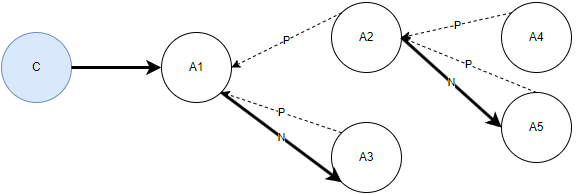
  • Kasus penggunaan 1: Agent1 mengundang Agent2, Agent2 mengundang Agent3, dan Agent3 mengundang Agent4. ID Kontak Sebelumnya selalu merupakan agen sebelumnya. Diagram berikut menggambarkan kasus penggunaan ini.

    A1 mengundang A2, A2 mengundang A3, A3 mengundang A4, ID Kontak Sebelumnya selalu agen sebelumnya.
  • Kasus penggunaan 2: Agent1 mengundang Agent2, Agent1 mengundang Agent3, dan Agent1 mengundang Agent4. ID Kontak Sebelumnya selalu Agen1. Diagram berikut menggambarkan kasus penggunaan ini.

    A1 mengundang Agen2, A1 mengundang A3 dan A1 mengundang A4, ID Kontak Sebelumnya selalu A1.
  • Kasus penggunaan 3: Agent1 mengundang Agent2, Agent2 mengundang Agent4 dan Agent5, Agent1 mengundang Agen3. ID Kontak Sebelumnya untuk Agen2 dan 3 adalah Agen1. Untuk Agen4 dan 5 ID Kontak Sebelumnya adalah Agen2. Diagram berikut menggambarkan kasus penggunaan ini.

    A1 mengundang A2, A2 mengundang A4 dan A5, A1 mengundang A3.

Cara mengidentifikasi panggilan konsultatif

  1. Langkah 1: Kelompokkan semua kaki yang terkait dengan kontak utama

  2. Langkah 2: Identifikasi hubungan antara masing-masing pasangan dengan menggunakan kolom Contact ID mereka(ID Kontak Sebelumnya, ID Kontak Berikutnya, ID Kontak Awal dan ID Kontak). Periksa bidang tambahan dalam catatan kontak untuk mengidentifikasi jenis operasi konsultatif: Konsultasi/Transfer atau Konferensi.

Langkah 1: Kelompokkan semua kaki yang terkait dengan kontak utama

Langkah ini membantu Anda mengelompokkan semua panggilan yang diprakarsai oleh inisiator/pemanggil tertentu. Bidang yang menarik adalah Contact ID, Contact ID Sebelumnya, Contact ID Berikutnya, ID Kontak Awal, dan Contact ID. Ini juga membantu Anda memahami jumlah kaki yang diperlukan untuk menyelesaikan panggilan. Alur kerja untuk ini adalah sebagai berikut:

  1. Tetapkan inisiator: Ini adalah catatan kontak tempat InitialContactId bidang tersebut beradaNULL. Selain PreviousContactId itu, juga NULL untuk catatan ini.

  2. Setiap catatan kontak di mana InitialContactId bidang sama dengan ContactId catatan kontak inisiator terkait dengan catatan kontak ini.

Langkah 2: Identifikasi hubungan antara masing-masing pasangan dengan menggunakan kolom Contact ID mereka

Anda dapat menggunakan logika berikut untuk mengidentifikasi konsultasi versus transfer versus konferensi. Logika menggunakan bidang stempel waktu yang dicatat dalam catatan kontak. Semua bidang yang relevan telah ditandai sebagaicode.

Konsultasikan panggilan

Inisiator berkonsultasi dengan pihak lain - dalam instans Amazon Connect yang sama (Internal) atau eksternal instans tersebut (Eksternal), menggunakan DID atau nomor bebas pulsa.

  • Karakteristik konsultasi internal:

    • Agen yang dikonsultasikan memasuki ACW sebelum agen inisiator

    • Agen yang dikonsultasikan tidak pernah berbicara dengan pelanggan, ini karena pelanggan telah ditahan oleh pemrakarsa. Oleh karena itu bidang AgentInteractionDuration untuk agen yang dikonsultasikan adalah NOL.

  • Karakteristik konsultasi eksternal:

    • Durasi Penahanan Pelanggan inisiator lebih tinggi dari Durasi Interaksi pihak eksternal (ExternalThirdPartyInteractionDuration).

Panggilan konferensi

Konferensi inisiator dengan peserta lain dalam instans Amazon Connect yang sama (Internal) atau eksternal instans tersebut (Eksternal), menggunakan DID atau nomor bebas pulsa.

  • Karakteristik konsultasi internal:

    • Agen yang dikonsultasikan memasuki ACW sebelum agen inisiator.

    • Agen yang dikonsultasikan berbicara dengan pelanggan: AgentInteractionDuration bukan NOL.

  • Karakteristik konsultasi eksternal:

    • Durasi Penahanan Pelanggan inisiator lebih kecil dari Durasi Interaksi pihak eksternal ()ExternalThirdPartyInteractionDuration. Ini berarti pelanggan ditahan sebentar, dan kemudian semua peserta terlibat dalam panggilan tersebut.

Transfer panggilan

Inisiator berkonsultasi dengan pihak lain - dalam instans Amazon Connect yang sama (Internal) atau eksternal instans tersebut (Eksternal), menggunakan DID atau nomor bebas pulsa.

  • Karakteristik konsultasi internal:

    • Agen yang dikonsultasikan memasuki ACW setelah agen inisiator.

    • Bidang TransferCompletedTimestamp ini bukan NOL untuk agen inisiator.

  • Karakteristik konsultasi eksternal:

    • Inisiator memasuki ACW (AfterContactWorkStartTimestamp) sebelum kaki eksternal terputus (). DisconnectTimestamp

    • Bidang TransferCompletedTimestamp ini bukan NOL untuk agen inisiator.

Cuplikan kode

Contoh cuplikan kode berikut — dalam SQL, skrip Java, dan Python — menunjukkan cara mengidentifikasi panggilan konferensi, transfer, dan konsultatif dengan memanfaatkan logika yang dijelaskan di bagian sebelumnya. Cuplikan ini disediakan sebagai contoh, dan tidak dimaksudkan untuk produksi.

Kode SQL

-- Conference transfer query DO NOT EDIT -- SELECT current_cr.contact_id, current_cr.initial_contact_id, current_cr.previous_contact_id, current_cr.next_contact_id, previous_cr.agent_username as initiator_agent_username, COALESCE ( current_cr.agent_username, current_cr.customer_endpoint_address ) as recipient_agent_username, current_cr.agent_connected_to_agent_timestamp, current_cr.agent_after_contact_work_start_timestamp, current_cr.transfer_completed_timestamp, CASE WHEN previous_cr.agent_after_contact_work_start_timestamp < current_cr.agent_after_contact_work_start_timestamp AND previous_cr.transfer_completed_timestamp IS NOT NULL THEN 'TRANSFER' WHEN previous_cr.agent_after_contact_work_start_timestamp > current_cr.agent_after_contact_work_start_timestamp AND current_cr.agent_interaction_duration_ms <= 2000 THEN 'CONSULT' WHEN previous_cr.agent_after_contact_work_start_timestamp > current_cr.agent_after_contact_work_start_timestamp AND current_cr.agent_interaction_duration_ms > 2000 THEN 'CONFERENCE' WHEN current_cr.agent_username is NULL AND current_cr.initiation_method = 'EXTERNAL_OUTBOUND' AND previous_cr.agent_after_contact_work_start_timestamp > current_cr.disconnect_timestamp AND previous_cr.agent_customer_hold_duration_ms > current_cr.external_third_party_interaction_duration_ms THEN 'EXTERNAL_CONSULT' WHEN current_cr.agent_username is NULL AND current_cr.initiation_method = 'EXTERNAL_OUTBOUND' AND previous_cr.agent_after_contact_work_start_timestamp > current_cr.disconnect_timestamp AND previous_cr.agent_customer_hold_duration_ms < current_cr.external_third_party_interaction_duration_ms THEN 'EXTERNAL_CONFERENCE' WHEN current_cr.agent_username is NULL AND current_cr.initiation_method = 'EXTERNAL_OUTBOUND' AND current_cr.disconnect_timestamp > previous_cr.transfer_completed_timestamp THEN 'EXTERNAL_TRANSFER' ELSE 'START' END AS TYPE FROM contact_record_link current_cr LEFT JOIN contact_record_link previous_cr ON previous_cr.contact_id = current_cr.previous_contact_id WHERE ( -- INPUT CONTACT ID -- current_cr.initial_contact_id = 'A CONTACT ID' or current_cr.contact_id = 'SAME CONTACT ID AS ABOVE' ) order by current_cr.agent_connected_to_agent_timestamp asc

Kode Python

"""Module Compare CTR's and establish relation""" ############################################################################### # Usage python ctr_processor.py [Initial Contact ID] # Example: python CTR_Processor.py 497f04ca-6de1-408f-9b8a-ec57bcc99b31 # # Have your CTR record JSON files in the same directory as this Python module # and execute the module as noted above. The input parameter is the # Initial Contact ID / the Contact ID of the first leg of the call. # ####################################################################z########### import json import re import os import sys from dateutil import parser PATH_OF_FILES = './' JSON = '.json' ENCODING = 'UTF-8' INTERACTION_DURN_THRESHOLD = 2 TYPE_INITIAL = 'STAND ALONE' TYPE_CONSULT = 'CONSULT' TYPE_EXT_CONSULT = 'EXT_CONSULT' TYPE_EXT_CONF = 'EXT_CONFERENCE' TYPE_CONFERENCE = 'CONFERENCE' TYPE_TRANSFER = 'TRANSFER' TYPE_UNKNOWN = 'UNKNOWN' CONTACT_STATE_INT = 'INTERMEDIATE' CONTACT_STATE_FINAL = 'FINAL' CONTACT_STATE_START = 'START' PRINT_INDENT = 4 def process_ctr_records(ctr_array): """ Function to process CTR Records""" relation = {} output_list = [] if ctr_array is None : return None for i, a_record in enumerate(ctr_array): if (prev_cid := a_record.get('PreviousContactId', None)) is not None: if (parent_ctr := get_parent_node(ctr_array, a_record['ContactId'], prev_cid)) is not None: relation = establish_relation(parent_ctr, a_record) else: relation = establish_parent(a_record) if relation is not None: output_list.append(relation) return output_list def establish_parent(a_ctr): """ Establish the first record - the one that doesn't have a Previous Contact ID""" if a_ctr.get('Agent', None) is not None: return { 'Agent': a_ctr['Agent']['Username'] ,'ConnectedToAgentTimestamp': a_ctr['Agent']['ConnectedToAgentTimestamp'] ,'Root Contact ID': a_ctr['ContactId'] ,'Type': TYPE_INITIAL ,'Contact State': CONTACT_STATE_START } def establish_relation(parent, child): """ Establish Conf / Transfer / Consult relation between two Agents""" if is_external_call(child): return establish_external_relation(parent, child) else: return establish_internal_relation(parent, child) def establish_external_relation(parent, child): """ Establish Conf / Transfer / Consult relation between two Agents - External call""" ret = { 'Parties': parent['Agent']['Username'] + ' <-> External:' + child['CustomerEndpoint']['Address'] ,'Contact State': parent.get('Contact State', CONTACT_STATE_INT) ,'ConnectedToAgentTimestamp': child['ConnectedToSystemTimestamp'] } parent_acw_start_ts = parser.parse(parent['Agent']['AfterContactWorkStartTimestamp']) child_disconnect_ts = parser.parse(child['DisconnectTimestamp']) if (parent_acw_start_ts - child_disconnect_ts).total_seconds() > 0: # Parent ended after child: Consult or conference ret['Type'] = TYPE_EXT_CONSULT if (parent['Agent']['CustomerHoldDuration'] - child['ExternalThirdParty']['ExternalThirdPartyInteractionDuration']) > INTERACTION_DURN_THRESHOLD else TYPE_EXT_CONF elif ((transfer_completed_ts := parser.parse(parent.get('TransferCompletedTimestamp', None))) is not None) and \ ((child_disconnect_ts - transfer_completed_ts).total_seconds() > 0): # ACW started after transfer was completed ret['Type'] = TYPE_TRANSFER return ret def establish_internal_relation(parent, child): """ Establish Conf / Transfer / Consult relation between two Agents - Internal call""" ret = { 'Parties': parent['Agent']['Username'] + ' <-> ' + child['Agent']['Username'] ,'Contact State': parent.get('Contact State', CONTACT_STATE_INT) ,'Child Contact ID': child.get('ContactId', 'NOTHING') ,'ConnectedToAgentTimestamp': child['Agent']['ConnectedToAgentTimestamp'] } parent_acw_start_ts = parser.parse(parent['Agent']['AfterContactWorkStartTimestamp']) child_acw_start_ts = parser.parse(child['Agent']['AfterContactWorkStartTimestamp']) if (parent_acw_start_ts - child_acw_start_ts).total_seconds() > 0: # Parent ended after child: Consult or conference ret['Type'] = TYPE_CONSULT if child['Agent']['AgentInteractionDuration'] < INTERACTION_DURN_THRESHOLD else TYPE_CONFERENCE elif ((transfer_completed_ts := parser.parse(parent.get('TransferCompletedTimestamp', None))) is not None) and \ ((child_acw_start_ts - transfer_completed_ts).total_seconds() > 0): # ACW started after transfer was completed ret['Type'] = TYPE_TRANSFER return ret def is_external_call(a_record): """Is this an external call """ if (a_record.get('Agent', None) is None and a_record.get('InitiationMethod', None) == 'EXTERNAL_OUTBOUND'): return True return False def get_parent_node(ctr_array, child_cid, child_prev_cid): """ Get the parent node when we have a Previous Contact ID""" for i, a_record in enumerate(ctr_array): if (parent_cid := a_record.get('ContactId', None)) is not None: if compare_strings(parent_cid, child_prev_cid): if (parent_next_cid := a_record.get('NextContactId', None)) is not None: if compare_strings(parent_next_cid, child_cid): return a_record | {'Contact State': CONTACT_STATE_FINAL} else: return a_record else: return a_record | {'Contact State': CONTACT_STATE_INT} def compare_strings(s1, s2): """ Compare two Contact IDs""" if s1 is None or s2 is None : return False return re.search(re.compile(s2), s1) def read_all_ctr_records(a_cid): """ Read all the CTR records for a given Initial Contact ID. Modify for S3 read""" ctr_array = [] for file_name in [file for file in os.listdir(PATH_OF_FILES) if file.endswith(JSON)]: with open(PATH_OF_FILES + file_name, encoding=ENCODING) as json_file: try: a_ctr = json.load(json_file) except ValueError: print('Error in parsing JSON. File name:[', file_name, ']') if a_ctr is not None: c_id = a_ctr['ContactId'] init_cid = a_ctr.get('InitialContactId', None) if compare_strings(a_cid, c_id): ctr_array.append(a_ctr) elif compare_strings(a_cid, init_cid): ctr_array.append(a_ctr) return ctr_array def main(): """ Entry point""" if len(sys.argv) < 2: print('Incorrect number of arguments (', len(sys.argv), ') --> python ctr_processor.py [Initial Contact ID]') return else: output_list = process_ctr_records(read_all_ctr_records(sys.argv[1])) if output_list is not None and len(output_list) > 0: output_list.sort(key=lambda x: x['ConnectedToAgentTimestamp']) for i, an_entry in enumerate(output_list): print(json.dumps(an_entry, indent=PRINT_INDENT)) else: print('Unable to find Contact ID:[', sys.argv[1], '] in the input CTR Records. Please check the files and try again.') if __name__ == "__main__": main()

Kode JS

// Has a dependency on the following Node.js modules: - date-fns, fs, path //sample input: node index.js 497f04ca-6de1-408f-9b8a-ec57bcc99b31 const fs = require('fs'); const path = require('path'); const { parseISO } = require('date-fns'); const PATH_OF_FILES = './'; const JSON_EXT = '.json'; const ENCODING = 'UTF-8'; const INTERACTION_DURATION_THRESHOLD = 2; const CONTACT_TYPES = { INITIAL: 'STAND ALONE', CONSULT: 'CONSULT', EXTERNAL_CONSULT: 'EXT_CONSULT', EXTERNAL_CONFERENCE: 'EXT_CONFERENCE', CONFERENCE: 'CONFERENCE', TRANSFER: 'TRANSFER', EXTERNAL_TRANSFER: 'EXT_TRANSFER', }; const CONTACT_STATES = { INTERMEDIATE: 'INTERMEDIATE', FINAL: 'FINAL', START: 'START', }; const PRINT_INDENT = 4; function processCtrRecords(ctrArray) { if (!ctrArray) return null; const outputList = []; ctrArray.forEach(record => { let relation = null; const prevCid = record.PreviousContactId; if (prevCid) { const parentRecord = findParentRecord(ctrArray, record.ContactId, prevCid); if (parentRecord) { relation = establishRelation(parentRecord, record); } } else { relation = establishInitialRecord(record); } if (relation) { outputList.push(relation); } }); return outputList; } function establishInitialRecord(record) { if (record.Agent) { return { 'Agent': record.Agent.Username, 'ConnectedToAgentTimestamp': record.Agent.ConnectedToAgentTimestamp, 'Root Contact ID': record.ContactId, 'Type': CONTACT_TYPES.INITIAL, 'Contact State': CONTACT_STATES.START, }; } } function establishRelation(parent, child) { return isExternalCall(child) ? establishExternalRelation(parent, child) : establishInternalRelation(parent, child); } function establishExternalRelation(parent, child) { const parentAcwStartTs = parent.Agent?.AfterContactWorkStartTimestamp ? parseISO(parent.Agent.AfterContactWorkStartTimestamp) : null; const childDisconnectTs = child.DisconnectTimestamp ? parseISO(child.DisconnectTimestamp) : null; const relation = { 'Parties': `${parent.Agent.Username} <-> External:${child.CustomerEndpoint.Address}`, 'Contact State': parent['Contact State'] || CONTACT_STATES.INTERMEDIATE, 'ConnectedToAgentTimestamp': child.ConnectedToSystemTimestamp, }; if (parentAcwStartTs && childDisconnectTs && (parentAcwStartTs - childDisconnectTs) > 0) { if (parent.Agent.CustomerHoldDuration - child.ExternalThirdParty.ExternalThirdPartyInteractionDuration > INTERACTION_DURATION_THRESHOLD) { relation['Type'] = CONTACT_TYPES.EXTERNAL_CONSULT; } else { relation['Type'] = CONTACT_TYPES.EXTERNAL_CONFERENCE; } } else if (parent.TransferCompletedTimestamp) { const transferCompletedTs = parseISO(parent.TransferCompletedTimestamp); if (transferCompletedTs && childDisconnectTs && (childDisconnectTs - transferCompletedTs) > 0) { relation['Type'] = CONTACT_TYPES.EXTERNAL_TRANSFER; } } return relation; } function establishInternalRelation(parent, child) { const parentAcwStartTs = parent.Agent?.AfterContactWorkStartTimestamp ? parseISO(parent.Agent.AfterContactWorkStartTimestamp) : null; const childAcwStartTs = child.Agent?.AfterContactWorkStartTimestamp ? parseISO(child.Agent.AfterContactWorkStartTimestamp) : null; const relation = { 'Parties': `${parent.Agent.Username} <-> ${child.Agent.Username}`, 'Contact State': parent['Contact State'] || CONTACT_STATES.INTERMEDIATE, 'Child Contact ID': child.ContactId || 'NOTHING', 'ConnectedToAgentTimestamp': child.Agent.ConnectedToAgentTimestamp, }; if (parentAcwStartTs && childAcwStartTs && (parentAcwStartTs - childAcwStartTs) > 0) { relation['Type'] = child.Agent.AgentInteractionDuration < INTERACTION_DURATION_THRESHOLD ? CONTACT_TYPES.CONSULT : CONTACT_TYPES.CONFERENCE; } else if (parent.TransferCompletedTimestamp) { const transferCompletedTs = parseISO(parent.TransferCompletedTimestamp); if (transferCompletedTs && childAcwStartTs && (childAcwStartTs - transferCompletedTs) > 0) { relation['Type'] = CONTACT_TYPES.TRANSFER; } } return relation; } function isExternalCall(record) { return !record.Agent && record.InitiationMethod === 'EXTERNAL_OUTBOUND'; } function findParentRecord(ctrArray, childCid, childPrevCid) { for (const record of ctrArray) { const parentCid = record.ContactId; if (compareStrings(parentCid, childPrevCid)) { const parentNextCid = record.NextContactId; if (parentNextCid && compareStrings(parentNextCid, childCid)) { return { ...record, 'Contact State': CONTACT_STATES.FINAL }; } else { return { ...record, 'Contact State': CONTACT_STATES.INTERMEDIATE }; } } } return null; } function compareStrings(s1, s2) { return s1 && s2 && s1.includes(s2); } function readAllCtrRecords(contactId) { return fs.readdirSync(PATH_OF_FILES) .filter(file => file.endsWith(JSON_EXT)) .map(fileName => JSON.parse(fs.readFileSync(path.join(PATH_OF_FILES, fileName), ENCODING))) .filter(record => compareStrings(contactId, record.ContactId) || compareStrings(contactId, record.InitialContactId)); } function main() { const [initialContactId] = process.argv.slice(2); if (!initialContactId) { console.log('Usage: node index.js [Initial Contact ID]'); return; } const outputList = processCtrRecords(readAllCtrRecords(initialContactId)); if (outputList.length) { outputList.sort((a, b) => new Date(a.ConnectedToAgentTimestamp) - new Date(b.ConnectedToAgentTimestamp)); outputList.forEach(entry => console.log(JSON.stringify(entry, null, PRINT_INDENT))); } else { console.log(`Unable to find Contact ID: [${initialContactId}]. Please check and try again.`); } } if (require.main === module) { main(); }