Support untuk OpenQASM pada perangkat Braket yang berbeda - Amazon Braket

Terjemahan disediakan oleh mesin penerjemah. Jika konten terjemahan yang diberikan bertentangan dengan versi bahasa Inggris aslinya, utamakan versi bahasa Inggris.

Support untuk OpenQASM pada perangkat Braket yang berbeda

Untuk perangkat yang mendukung OpenQASM 3.0, action bidang ini mendukung tindakan baru melalui GetDevice respons, seperti yang ditunjukkan pada contoh berikut untuk perangkat danRigetti. IonQ

//OpenQASM as available with the Rigetti device capabilities { "braketSchemaHeader": { "name": "braket.device_schema.rigetti.rigetti_device_capabilities", "version": "1" }, "service": {...}, "action": { "braket.ir.jaqcd.program": {...}, "braket.ir.openqasm.program": { "actionType": "braket.ir.openqasm.program", "version": [ "1" ], …. } } } //OpenQASM as available with the IonQ device capabilities { "braketSchemaHeader": { "name": "braket.device_schema.ionq.ionq_device_capabilities", "version": "1" }, "service": {...}, "action": { "braket.ir.jaqcd.program": {...}, "braket.ir.openqasm.program": { "actionType": "braket.ir.openqasm.program", "version": [ "1" ], …. } } }

Untuk perangkat yang mendukung kontrol pulsa, pulse bidang ditampilkan dalam GetDevice respons. Contoh berikut menunjukkan pulse bidang ini untuk Rigetti perangkat.

// Rigetti { "pulse": { "braketSchemaHeader": { "name": "braket.device_schema.pulse.pulse_device_action_properties", "version": "1" }, "supportedQhpTemplateWaveforms": { "constant": { "functionName": "constant", "arguments": [ { "name": "length", "type": "float", "optional": false }, { "name": "iq", "type": "complex", "optional": false } ] }, ... }, "ports": { "q0_ff": { "portId": "q0_ff", "direction": "tx", "portType": "ff", "dt": 1e-9, "centerFrequencies": [ 375000000 ] }, ... }, "supportedFunctions": { "shift_phase": { "functionName": "shift_phase", "arguments": [ { "name": "frame", "type": "frame", "optional": false }, { "name": "phase", "type": "float", "optional": false } ] }, ... }, "frames": { "q0_q1_cphase_frame": { "frameId": "q0_q1_cphase_frame", "portId": "q0_ff", "frequency": 462475694.24460185, "centerFrequency": 375000000, "phase": 0, "associatedGate": "cphase", "qubitMappings": [ 0, 1 ] }, ... }, "supportsLocalPulseElements": false, "supportsDynamicFrames": false, "supportsNonNativeGatesWithPulses": false, "validationParameters": { "MAX_SCALE": 4, "MAX_AMPLITUDE": 1, "PERMITTED_FREQUENCY_DIFFERENCE": 400000000 } } }

Bidang sebelumnya merinci hal-hal berikut:

Pelabuhan:

Menjelaskan port perangkat eksternal (extern) yang telah dibuat sebelumnya yang dideklarasikan pada QPU selain properti terkait dari port yang diberikan. Semua port yang tercantum dalam struktur ini dideklarasikan sebelumnya sebagai pengidentifikasi yang valid dalam OpenQASM 3.0 program yang dikirimkan oleh pengguna. Properti tambahan untuk port meliputi:

  • Id port (PortID)

    • Nama port dinyatakan sebagai identifier di OpenQASM 3.0.

  • Arah (arah)

    • Arah pelabuhan. Port drive mengirimkan pulsa (arah “tx”), sedangkan port pengukuran menerima pulsa (arah “rx”).

  • Jenis port (PortType)

    • Jenis tindakan yang menjadi tanggung jawab port ini (misalnya, drive, capture, atau ff - fast-flux).

  • Dt (dt)

    • Waktu dalam detik yang mewakili satu langkah waktu sampel pada port yang diberikan.

  • Pemetaan Qubit (QubitMappings)

    • Qubit yang terkait dengan port yang diberikan.

  • Frekuensi tengah (CenterFrequencies)

    • Daftar frekuensi pusat terkait untuk semua frame yang telah dideklarasikan atau ditentukan pengguna pada port. Untuk informasi lebih lanjut, lihat Bingkai.

  • Properti Khusus QHP () qhpSpecificProperties

    • Peta opsional yang merinci properti yang ada tentang port khusus untuk QHP.

Bingkai:

Menjelaskan frame eksternal pra-dibuat yang dideklarasikan pada QPU serta properti terkait tentang frame. Semua frame yang tercantum dalam struktur ini telah dideklarasikan sebelumnya sebagai pengidentifikasi yang valid dalam OpenQASM 3.0 program yang dikirimkan oleh pengguna. Properti tambahan untuk bingkai meliputi:

  • Id Bingkai (FrameID)

    • Nama frame dinyatakan sebagai identifier di OpenQASM 3.0.

  • Port Id (PortID)

    • Port perangkat keras terkait untuk bingkai.

  • Frekuensi (frekuensi)

    • Frekuensi awal default dari frame.

  • Frekuensi Pusat (Frekuensi Tengah)

    • Pusat bandwidth frekuensi untuk frame. Biasanya, frame hanya dapat disesuaikan dengan bandwidth tertentu di sekitar frekuensi tengah. Akibatnya, penyesuaian frekuensi harus tetap berada dalam delta tertentu dari frekuensi pusat. Anda dapat menemukan nilai bandwidth dalam parameter validasi.

  • Fase (fase)

    • Fase awal default dari frame.

  • Gerbang Terkait (AssociatedGate)

    • Gerbang yang terkait dengan bingkai yang diberikan.

  • Pemetaan Qubit (QubitMappings)

    • Qubit yang terkait dengan frame yang diberikan.

  • Properti Khusus QHP () qhpSpecificProperties

    • Peta opsional yang merinci properti yang ada tentang bingkai khusus untuk QHP.

SupportsDynamicFrames:

Menjelaskan apakah bingkai dapat dideklarasikan cal atau defcal diblokir melalui OpenPulse newframe fungsi. Jika ini salah, hanya bingkai yang tercantum dalam struktur bingkai yang dapat digunakan dalam program.

SupportedFunctions:

Menjelaskan OpenPulse fungsi yang didukung untuk perangkat selain argumen terkait, tipe argumen, dan tipe pengembalian untuk fungsi yang diberikan. Untuk melihat contoh penggunaan OpenPulse fungsi, lihat OpenPulsespesifikasinya. Pada saat ini, Braket mendukung:

  • shift_phase

    • Menggeser fase frame dengan nilai yang ditentukan

  • set_phase

    • Mengatur fase frame ke nilai yang ditentukan

  • swap_phase

    • Menukar fase antara dua frame.

  • shift_frequency

    • Menggeser frekuensi frame dengan nilai yang ditentukan

  • set_frequency

    • Mengatur frekuensi frame ke nilai yang ditentukan

  • pementasan

    • Menjadwalkan bentuk gelombang

  • menangkap_v0

    • Mengembalikan nilai pada frame capture ke register bit

SupportedQhpTemplateWaveforms:

Menjelaskan fungsi bentuk gelombang yang telah dibuat sebelumnya yang tersedia di perangkat serta argumen serta tipe terkait. Secara default, Braket Pulse menawarkan rutinitas bentuk gelombang pra-bangun pada semua perangkat, yaitu:

Konstan

Persamaan matematika menunjukkan fungsi konstan dengan parameter t, tau, dan iq di mana output selalu sama dengan iq.

τadalah panjang bentuk gelombang dan iq merupakan bilangan kompleks.

def constant(length, iq)

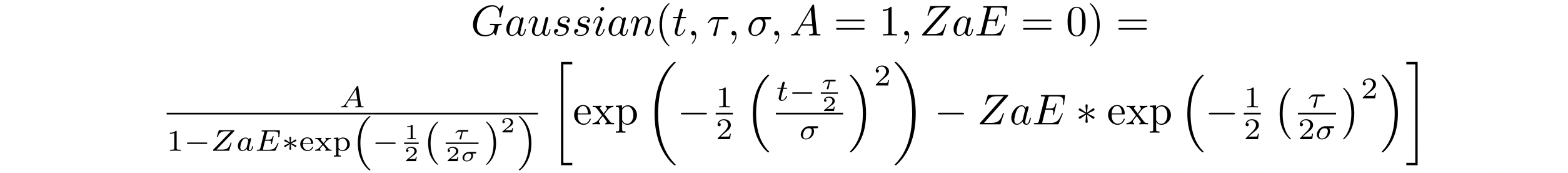
Gaussian

Persamaan matematika yang menunjukkan fungsi Gaussian dengan parameter t, tau, sigma, A=1, dan ZAE=0.

τadalah panjang bentuk gelombang, σ adalah lebar Gaussian, dan A merupakan amplitudo. Jika disetel ZaE keTrue, Gaussian diimbangi dan diskalakan ulang sedemikian rupa sehingga sama dengan nol pada awal dan akhir bentuk gelombang, dan mencapai maksimum. A

def gaussian(length, sigma, amplitude=1, zero_at_edges=False)

DRAG Gaussian

Persamaan matematika untuk distribusi DRAG Gaussian dengan parameter t, tau, sigma, beta, A=1, dan ZAE=0.

τadalah panjang bentuk gelombang, σ adalah lebar gaussian, adalah parameter bebas, dan β A merupakan amplitudo. Jika disetel ZaE keTrue, Penghapusan Derivatif oleh Gerbang Adiabatik (DRAG) Gaussian diimbangi dan diskalakan ulang sedemikian rupa sehingga sama dengan nol pada awal dan akhir bentuk gelombang, dan bagian sebenarnya mencapai maksimum. A Untuk informasi lebih lanjut tentang bentuk gelombang DRAG, lihat paper Pulsa Sederhana untuk Penghapusan Kebocoran pada Qubit Nonlinier Lemah.

def drag_gaussian(length, sigma, beta, amplitude=1, zero_at_edges=False)

Alun-alun Erf

Persamaan matematika untuk distribusi Erf Square dengan parameter t, Panjang, Lebar, sigma, A=1, dan ZAE=0.

Di mana L panjangnya, W adalah lebar bentuk gelombang, σ menentukan seberapa cepat tepi naik dan turun, t1​=(L−W)/2 dant22=(L+W)/2, A adalah amplitudo. Jika disetel ZaE keTrue, Gaussian diimbangi dan diskalakan ulang sedemikian rupa sehingga sama dengan nol pada awal dan akhir bentuk gelombang, dan mencapai maksimum. A Persamaan berikut adalah versi bentuk gelombang yang diskalakan ulang.

Persamaan matematika untuk distribusi Erf Square yang diskalakan ulang dengan parameter ZAE=1.

Dimana a=erf(W/2σ) danb=erf(-t1​/σ)/2+erf(t2​/σ)/2.

def erf_square(length, width, sigma, amplitude=1, zero_at_edges=False)

SupportsLocalPulseElements:

Menjelaskan apakah elemen pulsa, seperti port, frame, dan bentuk gelombang dapat didefinisikan secara lokal dalam blok. defcal Jika nilainyafalse, elemen harus didefinisikan dalam cal blok.

SupportsNonNativeGatesWithPulses:

Menjelaskan apakah kita dapat atau tidak dapat menggunakan gerbang non-asli dalam kombinasi dengan program pulsa. Misalnya, Anda tidak dapat menggunakan gerbang non-asli seperti H gerbang dalam program tanpa terlebih dahulu mendefinisikan gerbang defcal untuk qubit yang digunakan. Anda dapat menemukan daftar nativeGateSet kunci gerbang asli di bawah kemampuan perangkat.

ValidationParameters:

Menjelaskan batas validasi elemen pulsa, termasuk:

  • Skala Maksimum/Nilai Amplitudo Maksimum untuk bentuk gelombang (arbitrer dan pra-bangun)

  • Bandwidth frekuensi maksimum dari frekuensi pusat yang disediakan dalam Hz

  • Pulsa minimum length/duration dalam hitungan detik

  • Pulsa maksimum length/duration dalam hitungan detik

Operasi, Hasil, dan Jenis Hasil yang Didukung dengan OpenQASM

Untuk mengetahui fitur OpenQASM 3.0 mana yang didukung setiap perangkat, Anda dapat merujuk ke braket.ir.openqasm.program kunci di action bidang pada output kemampuan perangkat. Misalnya, berikut ini adalah operasi yang didukung dan jenis hasil yang tersedia untuk simulator SV1 Braket State Vector.

... "action": { "braket.ir.jaqcd.program": { ... }, "braket.ir.openqasm.program": { "version": [ "1.0" ], "actionType": "braket.ir.openqasm.program", "supportedOperations": [ "ccnot", "cnot", "cphaseshift", "cphaseshift00", "cphaseshift01", "cphaseshift10", "cswap", "cy", "cz", "h", "i", "iswap", "pswap", "phaseshift", "rx", "ry", "rz", "s", "si", "swap", "t", "ti", "v", "vi", "x", "xx", "xy", "y", "yy", "z", "zz" ], "supportedPragmas": [ "braket_unitary_matrix" ], "forbiddenPragmas": [], "maximumQubitArrays": 1, "maximumClassicalArrays": 1, "forbiddenArrayOperations": [ "concatenation", "negativeIndex", "range", "rangeWithStep", "slicing", "selection" ], "requiresAllQubitsMeasurement": true, "supportsPhysicalQubits": false, "requiresContiguousQubitIndices": true, "disabledQubitRewiringSupported": false, "supportedResultTypes": [ { "name": "Sample", "observables": [ "x", "y", "z", "h", "i", "hermitian" ], "minShots": 1, "maxShots": 100000 }, { "name": "Expectation", "observables": [ "x", "y", "z", "h", "i", "hermitian" ], "minShots": 0, "maxShots": 100000 }, { "name": "Variance", "observables": [ "x", "y", "z", "h", "i", "hermitian" ], "minShots": 0, "maxShots": 100000 }, { "name": "Probability", "minShots": 1, "maxShots": 100000 }, { "name": "Amplitude", "minShots": 0, "maxShots": 0 } { "name": "AdjointGradient", "minShots": 0, "maxShots": 0 } ] } }, ...