Étape 1 : Identifier les cas d'utilisation et le modèle de données logique - AWS Conseils prescriptifs

Les traductions sont fournies par des outils de traduction automatique. En cas de conflit entre le contenu d'une traduction et celui de la version originale en anglais, la version anglaise prévaudra.

Étape 1 : Identifier les cas d'utilisation et le modèle de données logique

Une entreprise automobile souhaite créer un système de gestion des composants transactionnel pour stocker et rechercher toutes les pièces automobiles disponibles et pour établir des relations entre les différents composants et pièces. Par exemple, une voiture contient plusieurs batteries, chaque batterie contient plusieurs modules de haut niveau, chaque module contient plusieurs cellules et chaque cellule contient plusieurs composants de bas niveau.

Généralement, pour créer un modèle de relation hiérarchique, une base de données orientée graphe telle qu'Amazon Neptune constitue un meilleur choix. Dans certains cas, cependant, Amazon DynamoDB constitue une meilleure alternative pour la modélisation hiérarchique des données en raison de sa flexibilité, de sa sécurité, de ses performances et de son évolutivité.

Par exemple, vous pouvez créer un système dans lequel 80 à 90 % des requêtes sont transactionnelles, et dans lequel DynamoDB convient parfaitement. Dans cet exemple, les 10 à 20 % restants sont relationnels, une base de données de graphes telle que Neptune étant mieux adaptée. Dans ce cas, l'inclusion d'une base de données supplémentaire dans l'architecture pour répondre à seulement 10 à 20 % des requêtes pourrait augmenter les coûts. Cela alourdit également la charge opérationnelle liée à la maintenance de plusieurs systèmes et à la synchronisation des données. Vous pouvez plutôt modéliser ces 10 à 20 % de requêtes relationnelles dans DynamoDB.

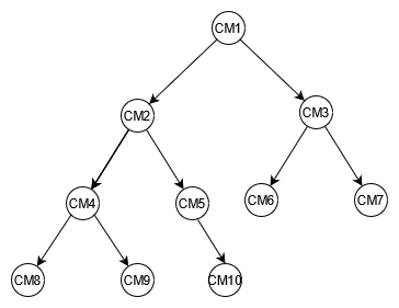
La création d'un schéma d'un exemple d'arborescence pour les composants automobiles peut vous aider à mapper la relation entre eux. Le schéma suivant montre un graphe de dépendance à quatre niveaux. CM1 est le composant de haut niveau de l'exemple de voiture lui-même. Il comporte deux sous-composants pour deux exemples de batteries, CM2 et CM3. Chaque batterie comporte deux sous-composants, à savoir les modules. CM2 possède des modules CM4 et CM5, et CM3 possède des modules CM6 et CM7. Chaque module comporte plusieurs sous-composants, à savoir les cellules. Le CM4 module comporte deux cellules, CM8 et CM9. CM5 possède une cellule, CM10. CM6 et CM7 je n'ai pas encore de cellules associées.

Exemple de schéma d'arborescence illustrant les relations décrites précédemment.

Ce guide utilisera cette arborescence et les identifiants de ses composants comme référence. Un composant supérieur sera appelé parent, tandis qu'un sous-composant sera appelé enfant. Par exemple, le composant supérieur CM1 est le parent de CM2 et CM3. CM2 est le parent de CM4 et CM5. Il représente graphiquement les relations parent-enfant.

Dans l'arborescence, vous pouvez voir le graphique de dépendance complet d'un composant. Par exemple, CM8 dépend de CM4, qui dépend de CM2, qui dépend de CM1. L'arborescence définit le graphique de dépendance complet comme chemin. Un chemin décrit deux choses :

  • Le graphique de dépendance

  • La position dans l'arborescence

Remplissage des modèles pour répondre aux besoins de l'entreprise :

Fournissez des informations sur vos utilisateurs :

Utilisateur

Description

Employee

Employé interne de l'entreprise automobile qui a besoin d'informations sur les voitures et leurs composants

Fournissez des informations sur les sources de données et sur la manière dont les données seront ingérées :

Source

Description

Utilisateur

Système de gestion

Système qui stockera toutes les données relatives aux pièces automobiles disponibles et à leurs relations avec les autres composants et pièces.

Employee

Fournissez des informations sur la manière dont les données seront consommées :

Consommateur

Description

Utilisateur

Système de gestion

Récupérez tous les composants enfants immédiats pour un ID de composant parent.

Employee

Système de gestion

Récupérez une liste récursive de tous les composants enfants pour un ID de composant.

Employee

Système de gestion

Consultez les ancêtres d'un composant.

Employee