View a markdown version of this page

Gestion de l'efficacité du stockage - FSx pour ONTAP

Les traductions sont fournies par des outils de traduction automatique. En cas de conflit entre le contenu d'une traduction et celui de la version originale en anglais, la version anglaise prévaudra.

Gestion de l'efficacité du stockage

En optimisant l'efficacité du stockage sur vos volumes FSx for ONTAP, vous pouvez optimiser l'utilisation du stockage, réduire les coûts de stockage et améliorer les performances globales de votre système de fichiers.

Note

Nous vous recommandons d'activer l'efficacité du stockage à l'aide de la FSx console Amazon, de l'API, ou AWS CLI pour garantir que les paramètres d'efficacité du stockage optimaux sont appliqués à vos volumes.

ONTAPorganise les fichiers en blocs de données de 4 kibioctets (KiB). L'efficacité du stockage se fait au niveau des blocs de données plutôt qu'au niveau des fichiers individuels. Lorsque l'efficacité du stockage est atteinte, ONTAP utilise une combinaison de techniques de réduction des données pour éliminer les doublons, compresser la taille des données et réorganiser la disposition des données pour une utilisation optimale du disque.

L'efficacité du stockage s'applique de deux manières. Ils sont appliqués aux données en ligne (avant que les données ne soient écrites sur le disque, en mémoire) afin de réaliser des économies de stockage immédiates. Ils sont également appliqués aux données en arrière-plan (une fois les données écrites sur le disque) dans le niveau de stockage SSD par le biais de tâches d'efficacité périodiques visant à optimiser l'utilisation du stockage au fil du temps. L'efficacité du stockage en arrière-plan ne repose pas sur les données une fois celles-ci hiérarchisées en fonction du pool de capacités. Toutefois, si les données ont fait l'objet d'économies de stockage lorsqu'elles se trouvaient sur un SSD, ces économies sont préservées lorsque les données sont hiérarchisées en fonction du pool de capacité.

Note

ONTAPne prend pas en charge l'amélioration de l'efficacité du stockage sur les volumes de protection des données (DP). Toutefois, les économies de stockage réalisées dans le volume source en lecture-écriture (RW) sont préservées lorsque les données sont répliquées sur le volume DP de destination.

Compression de blocs de données

Les groupes de compression sont des regroupements logiques de données qui sont gérés et compressés ensemble sous la forme d'un seul bloc. ONTAPregroupe automatiquement les blocs de données dans des groupes de compression, ce qui réduit l'espace consommé sur le disque. Pour optimiser les performances et l'utilisation du stockage, ONTAP propose une approche équilibrée de la gestion des données en ajustant le degré de compression appliqué aux données en fonction de leurs modèles d'accès.

Par défaut, les données sont compressées en ligne à l'aide de groupes de compression de 8 Ko afin de garantir des performances optimales lors de l'écriture de données sur un volume. Vous pouvez éventuellement appliquer une compression plus importante aux données en activant la compression des données inactive sur un volume afin de compresser davantage les données sur le SSD. La compression des données inactives utilise des groupes de compression de 32 Ko sur les données froides afin de réaliser des économies de stockage supplémentaires. Pour plus d'informations, consultez la volume efficiency inactive-data-compression modifycommande dans leNetApp ONTAP Documentation Center.

Note

La compression de données inactive consomme des IOPS supplémentaires sur le processeur et le disque et peut être une tâche gourmande en ressources. Nous vous recommandons d'évaluer l'impact sur les performances de l'exécution d'une compression de données inactive sur votre charge de travail avant d'activer cette fonctionnalité.

L'image suivante illustre les économies de stockage qui peuvent être réalisées en compressant des blocs de données.

Illustre les économies de stockage qui peuvent être réalisées en compressant des blocs de données à l'aide de groupes de compression.

Déduplication de blocs de données

ONTAPdétecte et élimine les blocs de données dupliqués afin de réduire les redondances de données. Les blocs dupliqués sont remplacés par des références à des blocs uniques partagés.

Par défaut, les données sont dédupliquées en ligne afin de réduire l'encombrement du stockage avant que les données ne soient écrites sur le disque. ONTAPexécute également un scanner de déduplication en arrière-plan à des intervalles spécifiés pour identifier et éliminer les doublons une fois qu'ils ont été écrits sur le disque. Au cours de ces analyses planifiées, ONTAP traite un journal des modifications pour identifier les blocs de données nouveaux ou modifiés depuis le dernier scan qui n'ont pas encore été dédupliqués. Lorsque des doublons sont détectés, ONTAP met à jour les métadonnées pour qu'elles pointent vers une copie unique des blocs dupliqués et marque les blocs redondants comme de l'espace libre prêt à être récupéré.

Note

ONTAPapplique la déduplication à 4 Ko d'écritures entrantes à la fois. Vous pouvez donc réaliser des économies de déduplication moindres lorsque vous exécutez des charges de travail avec des écritures d'une taille inférieure à 4 Ko.

FSx for ONTAP ne prend pas en charge la déduplication entre volumes.

L'image suivante illustre les économies de stockage qui peuvent être réalisées grâce à la déduplication.

Illustre les économies de stockage qui peuvent être réalisées grâce à la déduplication.

Compaction de blocs de données

ONTAPconsolide les blocs de données partiellement remplis de moins de 4 Ko chacun en un bloc de 4 Ko utilisé plus efficacement.

Par défaut, les données sont compactées en ligne afin d'optimiser la disposition des données lorsqu'elles sont écrites sur le disque afin de minimiser les frais de stockage, de réduire la fragmentation et d'améliorer les performances de lecture.

L'image suivante illustre les économies de stockage qui peuvent être réalisées grâce au compactage.

Illustre les économies de stockage qui peuvent être réalisées grâce au compactage.

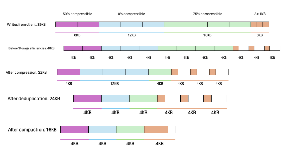
Exemple : efficacité du stockage

L'image suivante montre comment l'efficacité du stockage est appliquée aux données.

Illustration de la manière dont l'efficacité du stockage est appliquée aux données.