Support für OpenQASM auf verschiedenen Braket-Geräten - Amazon Braket

Die vorliegende Übersetzung wurde maschinell erstellt. Im Falle eines Konflikts oder eines Widerspruchs zwischen dieser übersetzten Fassung und der englischen Fassung (einschließlich infolge von Verzögerungen bei der Übersetzung) ist die englische Fassung maßgeblich.

Support für OpenQASM auf verschiedenen Braket-Geräten

Bei Geräten, die OpenQASM 3.0 unterstützen, unterstützt das action Feld eine neue Aktion über die GetDevice Antwort, wie im folgenden Beispiel für die Geräte und gezeigt. Rigetti IonQ

//OpenQASM as available with the Rigetti device capabilities { "braketSchemaHeader": { "name": "braket.device_schema.rigetti.rigetti_device_capabilities", "version": "1" }, "service": {...}, "action": { "braket.ir.jaqcd.program": {...}, "braket.ir.openqasm.program": { "actionType": "braket.ir.openqasm.program", "version": [ "1" ], …. } } } //OpenQASM as available with the IonQ device capabilities { "braketSchemaHeader": { "name": "braket.device_schema.ionq.ionq_device_capabilities", "version": "1" }, "service": {...}, "action": { "braket.ir.jaqcd.program": {...}, "braket.ir.openqasm.program": { "actionType": "braket.ir.openqasm.program", "version": [ "1" ], …. } } }

Bei Geräten, die die Impulssteuerung unterstützen, wird das pulse Feld in der GetDevice Antwort angezeigt. Das folgende Beispiel zeigt dieses pulse Feld für das Rigetti Gerät.

// Rigetti { "pulse": { "braketSchemaHeader": { "name": "braket.device_schema.pulse.pulse_device_action_properties", "version": "1" }, "supportedQhpTemplateWaveforms": { "constant": { "functionName": "constant", "arguments": [ { "name": "length", "type": "float", "optional": false }, { "name": "iq", "type": "complex", "optional": false } ] }, ... }, "ports": { "q0_ff": { "portId": "q0_ff", "direction": "tx", "portType": "ff", "dt": 1e-9, "centerFrequencies": [ 375000000 ] }, ... }, "supportedFunctions": { "shift_phase": { "functionName": "shift_phase", "arguments": [ { "name": "frame", "type": "frame", "optional": false }, { "name": "phase", "type": "float", "optional": false } ] }, ... }, "frames": { "q0_q1_cphase_frame": { "frameId": "q0_q1_cphase_frame", "portId": "q0_ff", "frequency": 462475694.24460185, "centerFrequency": 375000000, "phase": 0, "associatedGate": "cphase", "qubitMappings": [ 0, 1 ] }, ... }, "supportsLocalPulseElements": false, "supportsDynamicFrames": false, "supportsNonNativeGatesWithPulses": false, "validationParameters": { "MAX_SCALE": 4, "MAX_AMPLITUDE": 1, "PERMITTED_FREQUENCY_DIFFERENCE": 400000000 } } }

In den vorherigen Feldern wird Folgendes detailliert beschrieben:

Anschlüsse:

Beschreibt vorgefertigte externe (extern) Geräteanschlüsse, die auf der QPU deklariert sind, zusätzlich zu den zugehörigen Eigenschaften des angegebenen Anschlusses. Alle in dieser Struktur aufgelisteten Ports sind als gültige Bezeichner innerhalb des vom Benutzer übermittelten OpenQASM 3.0 Programms vordeklariert. Zu den zusätzlichen Eigenschaften eines Ports gehören:

  • Port-ID (PortID)

    • Der Portname, der in OpenQASM 3.0 als Identifier deklariert wurde.

  • Richtung (Richtung)

    • Die Richtung des Hafens. Antriebsanschlüsse übertragen Impulse (Richtung „tx“), während Messanschlüsse Impulse empfangen (Richtung „rx“).

  • Porttyp (PortType)

    • Der Aktionstyp, für den dieser Port verantwortlich ist (z. B. drive, capture oder ff — fast-flux).

  • Dt (dt)

    • Die Zeit in Sekunden, die einen einzelnen Sample-Zeitschritt auf dem angegebenen Port darstellt.

  • Qubit-Zuordnungen (QubitMappings)

    • Die Qubits, die dem angegebenen Port zugeordnet sind.

  • Mittenfrequenzen (CenterFrequencies)

    • Eine Liste der zugehörigen Mittenfrequenzen für alle vordeklarierten oder benutzerdefinierten Frames am Port. Weitere Informationen finden Sie unter Frames.

  • QHP-spezifische Eigenschaften () qhpSpecificProperties

    • Eine optionale Karte, in der die vorhandenen Eigenschaften des für das QHP spezifischen Ports detailliert beschrieben werden.

Rahmen:

Beschreibt vorgefertigte externe Frames, die auf der QPU deklariert sind, sowie die zugehörigen Eigenschaften der Frames. Alle in dieser Struktur aufgelisteten Frames sind innerhalb des vom Benutzer eingereichten OpenQASM 3.0 Programms als gültige Bezeichner vordeklariert. Zu den zusätzlichen Eigenschaften eines Frames gehören:

  • Rahmen-ID (FrameID)

    • Der Frame-Name, der in OpenQASM 3.0 als Identifier deklariert wurde.

  • Port-ID (Port-ID)

    • Der zugehörige Hardware-Port für den Frame.

  • Frequenz (Frequenz)

    • Die standardmäßige Anfangsfrequenz des Frames.

  • Mittenfrequenz (CenterFrequency)

    • Die Mitte der Frequenzbandbreite für den Frame. Normalerweise können Frames nur auf eine bestimmte Bandbreite im Bereich der Mittenfrequenz eingestellt werden. Daher sollten Frequenzanpassungen innerhalb eines bestimmten Deltas der Mittenfrequenz bleiben. Sie finden den Bandbreitenwert in den Validierungsparametern.

  • Phase (Phase)

    • Die standardmäßige Anfangsphase des Frames.

  • Assoziiertes Tor (AssociatedGate)

    • Die Gates, die dem angegebenen Frame zugeordnet sind.

  • Qubit-Mappings (QubitMappings)

    • Die Qubits, die dem angegebenen Frame zugeordnet sind.

  • QHP-spezifische Eigenschaften () qhpSpecificProperties

    • Eine optionale Karte, in der die vorhandenen Eigenschaften des Frames detailliert beschrieben werden, die für das QHP spezifisch sind.

SupportsDynamicFrames:

Beschreibt, ob ein Frame in der Funktion cal oder in defcal Blöcken deklariert werden kann. OpenPulse newframe Wenn dies falsch ist, dürfen nur die in der Frame-Struktur aufgelisteten Frames innerhalb des Programms verwendet werden.

SupportedFunctions:

Beschreibt die OpenPulse Funktionen, die für das Gerät unterstützt werden, zusätzlich zu den zugehörigen Argumenten, Argumenttypen und Rückgabetypen für die angegebenen Funktionen. Beispiele für die Verwendung der OpenPulse Funktionen finden Sie in der OpenPulseSpezifikation. Derzeit unterstützt Braket:

  • shift_phase

    • Verschiebt die Phase eines Frames um einen bestimmten Wert

  • set_phase

    • Setzt die Phase des Frames auf den angegebenen Wert

  • swap_phases

    • Tauscht die Phasen zwischen zwei Frames aus.

  • shift_frequency

    • Verschiebt die Frequenz eines Frames um einen bestimmten Wert

  • set_frequency

    • Setzt die Frequenz des Frames auf den angegebenen Wert

  • spielen

    • Plant eine Wellenform

  • capture_v0

    • Gibt den Wert eines Capture-Frames in ein Bitregister zurück

SupportedQhpTemplateWaveforms:

Beschreibt die auf dem Gerät verfügbaren vorgefertigten Wellenformfunktionen sowie die zugehörigen Argumente und Typen. Standardmäßig bietet Braket Pulse auf allen Geräten vorgefertigte Wellenformroutinen. Diese sind:

Konstant

Mathematische Gleichung, die eine konstante Funktion mit den Parametern t, tau und iq zeigt, wobei die Ausgabe immer gleich iq ist.

τist die Länge der Wellenform und iq ist eine komplexe Zahl.

def constant(length, iq)

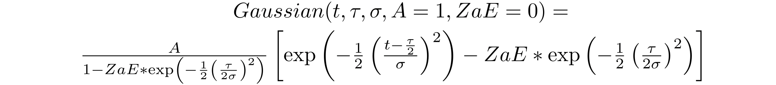
Gaußsch

Mathematische Gleichung, die die Gaußsche Funktion mit den Parametern t, Tau, Sigma, A=1 und Zae=0 zeigt.

τist die Länge der Wellenform, ist die Breite der Gaußkurve und σ ist die Amplitude. A Bei Einstellung ZaE auf True wird der Gauß-Wert verschoben und neu skaliert, sodass er am Anfang und Ende der Wellenform gleich Null ist und das Maximum erreicht. A

def gaussian(length, sigma, amplitude=1, zero_at_edges=False)

ZIEHEN SIE Gaussian

Mathematische Gleichung für die GAUßsche DRAG-Verteilung mit den Parametern t, Tau, Sigma, Beta, A=1 und Zae=0.

τist die Länge der Wellenform, ist die Breite der Gaußkurve, σ ist ein freier Parameter und ist die Amplitude. β A Bei Einstellung ZaE auf True wird die Gaußsche Methode zur Entfernung von Ableitungen durch Adiabatic Gate (DRAG) verschoben und neu skaliert, sodass sie am Anfang und Ende der Wellenform gleich Null ist und der Realteil das Maximum erreicht. A Weitere Informationen zur DRAG-Wellenform finden Sie im paper Simple Pulses for Elimination of Leakage in Weakly Nonlinear Qubits.

def drag_gaussian(length, sigma, beta, amplitude=1, zero_at_edges=False)

Erf-Quadrat

Mathematische Gleichung für die Erf-Quadrat-Verteilung mit den Parametern t, Länge, Breite, Sigma, A=1 und Zae=0.

Wo L ist die Länge, W ist die Breite der Wellenform, σ definiert, wie schnell die Kanten steigen und fallen, und, ist die Amplitude. t1​=(L−W)/2 t22=(L+W)/2 A Bei Einstellung ZaE auf True wird der Gauß-Wert verschoben und neu skaliert, sodass er am Anfang und Ende der Wellenform gleich Null ist und das Maximum erreicht. A Die folgende Gleichung ist die neu skalierte Version der Wellenform.

Mathematische Gleichung für die neu skalierte Erf-Quadrat-Verteilung mit den Parametern zAE=1.

Wo und. a=erf(W/2σ) b=erf(-t1​/σ)/2+erf(t2​/σ)/2

def erf_square(length, width, sigma, amplitude=1, zero_at_edges=False)

SupportsLocalPulseElements:

Beschreibt, ob Impulselemente wie Ports, Frames und Wellenformen lokal in defcal Blöcken definiert werden können. Wenn der Wert istfalse, müssen Elemente in cal Blöcken definiert werden.

SupportsNonNativeGatesWithPulses:

Beschreibt, ob wir nicht systemeigene Gatter in Kombination mit Impulsprogrammen verwenden können oder nicht. Zum Beispiel können Sie ein nicht systemeigenes Gate wie ein H Gate in einem Programm nicht verwenden, ohne zuerst das Gate Through defcal für das verwendete Qubit zu definieren. Die Liste der systemeigenen nativeGateSet Gates-Schlüssel finden Sie unter den Gerätefunktionen.

ValidationParameters:

Beschreibt die Grenzen der Validierung von Impulselementen, einschließlich:

  • Werte für maximale Skala und maximale Amplitude für Wellenformen (willkürlich und vordefiniert)

  • Maximale Frequenzbandbreite ausgehend von der eingegebenen Mittenfrequenz in Hz

  • Minimaler Impuls length/duration in Sekunden

  • Maximaler Puls length/duration in Sekunden

Unterstützte Operationen, Ergebnisse und Ergebnistypen mit OpenQASM

Um herauszufinden, welche OpenQASM 3.0-Funktionen jedes Gerät unterstützt, können Sie dem braket.ir.openqasm.program Schlüssel im action Feld auf der Ausgabe der Gerätefunktionen entnehmen. Im Folgenden sind beispielsweise die unterstützten Operationen und Ergebnistypen aufgeführt, die für den Braket State Vector-Simulator verfügbar sind. SV1

... "action": { "braket.ir.jaqcd.program": { ... }, "braket.ir.openqasm.program": { "version": [ "1.0" ], "actionType": "braket.ir.openqasm.program", "supportedOperations": [ "ccnot", "cnot", "cphaseshift", "cphaseshift00", "cphaseshift01", "cphaseshift10", "cswap", "cy", "cz", "h", "i", "iswap", "pswap", "phaseshift", "rx", "ry", "rz", "s", "si", "swap", "t", "ti", "v", "vi", "x", "xx", "xy", "y", "yy", "z", "zz" ], "supportedPragmas": [ "braket_unitary_matrix" ], "forbiddenPragmas": [], "maximumQubitArrays": 1, "maximumClassicalArrays": 1, "forbiddenArrayOperations": [ "concatenation", "negativeIndex", "range", "rangeWithStep", "slicing", "selection" ], "requiresAllQubitsMeasurement": true, "supportsPhysicalQubits": false, "requiresContiguousQubitIndices": true, "disabledQubitRewiringSupported": false, "supportedResultTypes": [ { "name": "Sample", "observables": [ "x", "y", "z", "h", "i", "hermitian" ], "minShots": 1, "maxShots": 100000 }, { "name": "Expectation", "observables": [ "x", "y", "z", "h", "i", "hermitian" ], "minShots": 0, "maxShots": 100000 }, { "name": "Variance", "observables": [ "x", "y", "z", "h", "i", "hermitian" ], "minShots": 0, "maxShots": 100000 }, { "name": "Probability", "minShots": 1, "maxShots": 100000 }, { "name": "Amplitude", "minShots": 0, "maxShots": 0 } { "name": "AdjointGradient", "minShots": 0, "maxShots": 0 } ] } }, ...