Upstream repository priority order - CodeArtifact

Upstream repository priority order

When you request a package version from a repository with one or more upstream repositories, their priority corresponds to the order that they were listed when calling the create-repository or update-repository command. When the requested package version is found, the search stops, even if it didn't search all upstream repositories. For more information, see Add or remove upstream repositories (AWS CLI).

Use the describe-repository command to see the priority order.

aws codeartifact describe-repository --repository my_repo --domain my_domain --domain-owner 111122223333

The result might be the following. It shows that the upstream repository priority is upstream-1 first, upstream-2 second, and upstream-3 third.

{ "repository": { "name": "my_repo", "administratorAccount": "123456789012", "domainName": "my_domain", "domainOwner": "111122223333", "arn": "arn:aws:codeartifact:us-east-1:111122223333:repository/my_domain/my_repo", "description": "My new repository", "upstreams": [ { "repositoryName": "upstream-1" }, { "repositoryName": "upstream-2" }, { "repositoryName": "upstream-3" } ], "externalConnections": [] } }

Simple priority order example

In the following diagram, the my_repo repository has three upstream repositories. The priority order of the upstream repositories is upstream-1, upstream-2, upstream-3.

Simple upstream repository diagram showing my_repo with 3 upstream repositories.

A request for a package version in my_repo searches the repositories in the following order until it is found, or until an HTTP 404 Not Found response is returned to the client:

  1. my_repo

  2. upstream-1

  3. upstream-2

  4. upstream-3

If the package version is found, the search stops, even if it didn't look in all upstream repositories. For example, if the package version is found in upstream-1, the search stops and CodeArtifact doesn't look in upstream-2 or upstream-3.

When you use the AWS CLI command list-package-versions to list package versions in my_repo, it looks only in my_repo. It does not list package versions in upstream repositories.

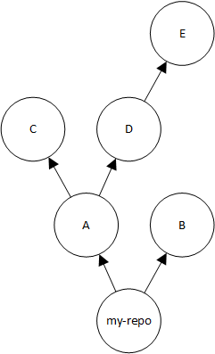
Complex priority order example

If an upstream repository has its own upstream repositories, the same logic is used to find a package version before moving to the next upstream repository. For example, suppose that your my_repo repository has two upstream repositories, A and B. If repository A has upstream repositories, a request for a package version in my_repo first looks in my_repo, second in A, then in the upstream repositories of A, and so on.

In the following diagram, the my_repo repository contains upstream repositories. Upstream repository A has two upstream repositories, and D has one upstream repository. Upstream repositories at the same level in the diagram appear in their priority order, left to right (repository A has a higher priority order than repository B, and repository C has a higher priority order than repository D).

A more complex upstream repository diagram with 2 upstream repositories A and B and additional upstream repositories.

In this example, a request for a package version in my_repo looks in the repositories in the following order until it is found, or until a package manager returns an HTTP 404 Not Found response to the client:

  1. my_repo

  2. A

  3. C

  4. D

  5. E

  6. B